Sofía Kovalevskaya

Description

Sofía Kovalevskaya
Jennifer Almengor
Flashcards by Jennifer Almengor, updated more than 1 year ago
Jennifer Almengor
Created by Jennifer Almengor almost 9 years ago
65
0

Resource summary

Question Answer
Sofía Kovalevskaya ( 1850 – 1891) Jennifer Almengor Erlane Mora Matemática, Científica, Escritora y Revolucionaria.
Datos importantes El interés de ella surgió a los siete u ocho años por las matemáticas, aunque no lo podía entender perfectamente. Fue capaz de leer un libro de física que era de su padre, además de reconstruir por sí sola fórmulas geométricas .
Su vida académica. -En su época era imposible ingresar a una universidad. -Se casó para poder marcharse al extranjero en busca de su estudio. -Ingresó a la Universidad de Heidelberg en Alemania como oyente.
Universidad Heidelberg - Superó la prueba de resolver un conjunto de problemas a la que sometió con rapidez y originalidad. -Weierstrass le daba clases particulares dos veces por semana debido a su talento.
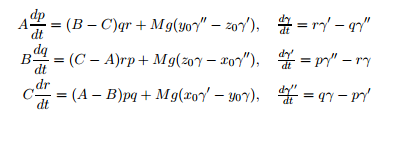
Trabajos Matemáticos - Teoría de ecuaciones en derivadas parciales. -Integrales abelianas - Sobre las forma de los anillos en Saturno. -Sobre la refracción de la luz y las ecuaciones de Lamé. - Ecuaciones de Euler y el problema de la rotación del cuerpo. -Sobre un teorema de Bruns.
Sobre la refracción de la luz y las ecuaciones de Lamé. Ecuaciones de Euler y el problema de la rotación del cuerpo.
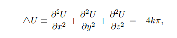
Sobre un teorema de Bruns. Ecuaciones en derivadas parciales cuasilineales
Trabajos literarios Obras: -Recuerdos de las infancia -Una joven nihilista
Logros Fue la primer mujer en: - Obtener el grado de Doctor en Matemáticas. -Formar parte del comité editorial de una matemática (Acta Mathematica). -Ganar un premio de la categoría Prix Bordin. -Ocupar una cátedra en una universidad Europea.
"El poeta debe ser capaz de ver lo que los demás no ven, debe ver mas profundamente que otras personas. El matemático debe hacer lo mismo."
Show full summary Hide full summary

Similar

20 Frases de Motivación para Estudiantes
maya velasquez
Frases comunes en inglés
Laura -
FRASES sobre EDUCACIÓN ...
Ulises Yo
Mapa mental: Novela actual
daniela99.po
Japonés
GokaiPink neko
Tipos de sintagmas
Ángeles Fernández
Saludar en portugués
Juan Zegarra
LOGROS E INDICADORES DE LOGRO
Catalina León
FRASES HECHAS de la A- a la Z-...
Ulises Yo
Movimiento Social LGBT
Juan David Garzon Gonzalez
Marie Curie
Elias Mtz