Discret Cosinus Transform - Transformée en Cosinus Discret

Description

Flashcards on Discret Cosinus Transform - Transformée en Cosinus Discret, created by acl on 03/02/2015.
acl
Flashcards by acl, updated more than 1 year ago
acl
Created by acl almost 11 years ago
85
2

Resource summary

Question Answer
Que représente la transformée en cosinus discret ? La transformée en cosinus discret DCT représente une image comme une somme de sinusoïdes d'amplitudes variables et de fréquences.
Quelle est la principale propriété de la DCT d'une image typique? Pour une image typique, le plupart de l'information significative visuelle de l'image est concentrée dans quelques coefficients de la DCT
Dans quelles applications est souvent utilisée le transformée DCT ? la compression d'images
Dans quel algorithme de compression d'image est utilisé la DCT ? JPEG (Joint Photographic Experts Group)
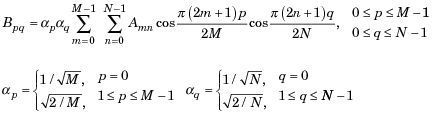
Définition de la transformation DCT bidimensionnelle d'une matrice A(M*N)
Première étape de la compression JPEG image d'entrée divisée en blocs de 8-par-8 ou 16-par-16
2ème étape compression JPEG la transformée bidimensionnelle DCT est calculée pour chaque bloc
3eme étape de la compression JPEG Les coefficients DCT sont ensuite quantifiés, codés et transmis
étape de réception compression JPEG Le récepteur JPEG (ou fichier de lecture JPEG) décode les coefficients DCT quantifiés, calcule la transformation inverse bidimensionnelle de chaque bloc, et remet à sa place les blocs dans une simple image.
Code Matlab calculant la DCT bidimensionnelle de 8-par-8 dans l'image d'entrée, supprime (mise à zéro) tous sauf 1à des 64 coefficients DCT de chaque bloc, et reconstruit l'image en utilisant DCT inverse.
Quel est l’avantage d’utiliser la transformation en cosinus discret plutôt que la transformée de Fourier en compression de données ? - pas d’effet de Gibbs aux bords si discontinuité - décroissance plus rapide des coefficients (car symétrisée continue)
Show full summary Hide full summary

Similar