Estructura de Datos

Description

Glosario de los conceptos básicos del manejo de estructuras de datos para el uso de la memoria dinámica.
jose antonio negreros orellana
Flashcards by jose antonio negreros orellana, updated more than 1 year ago
jose antonio negreros orellana
Created by jose antonio negreros orellana almost 9 years ago
161
0

Resource summary

Question Answer
Recursividad Propiedad de un método, procedimiento o función de programación de llamarse a si mismo
Manejo de Memoria Estática Espacio de memoria que tiene un tamaño predeterminado y no cambia durante la ejecución. Se utiliza mediante el uso de datos primitivos o los conjuntos de estos.
Manejo de Memoria Dinámica Espacio de memoria el cual es asignado según la demanda del usuario durante la ejecución. No tiene un espacio determinado de antemano. Se utiliza mediante apuntadores ( o estructuras dinámicas y modelos en JAVA)
Apuntador Variable que guarda una dirección de memoria (de un espacio y organización determinada) donde puede almacenar datos (incluido otro apuntador)
Nodo Es uno de los elementos lista enlazada, árbol, pila, fila o grafo. Cada nodo será una estructura o registro de varios campos, y al menos uno de esos campos será un puntero o referencia a otro nodo, de forma que, a partir de un nodo será posible en teoría tener acceso a otros nodos de la estructura
Lista (enlazada) Estructura de datos dinámica (sin tamaño fijo) que permite utilizar una serie de nodos para almacenar información acomodados visualmente como en una linea
Elementos Básicos de una lista * Apuntador al inicio * Nodos de datos * Apuntador al final de la lista (Null)
Acciones en una Lista * Añadir o insertar nodo. * Buscar o localizar nodos. * Borrar nodos. * Moverse a través de los nodos, anterior, siguiente, primero, ultimo.
Pila (stack) Es una lista enlazada que opera bajo el principio (LIFO) Last In First Out donde el ultimo dato insertado es el primer dato leído. Insertado un dato queda encima y no se accede mientras no sea el primero en pila. Cuando un dato es leído es extraído de la pila.
Elementos Básicos de una Pila * Apuntador al tope de la pila * Nodos (siempre apunta al anterior) * Apuntador Fin de la pila (Null)
Colas (filas o Queue) Tipo de lista en la que sólo se pueden insertar nodos en uno de los extremos de la lista y sólo se pueden leer (y eliminar) nodos en el otro. Este tipo de lista es conocido como lista FIFO (First In First Out), el primero en entrar es el primero en salir.
Elementos Básicos de una Cola * Apuntador al final de la cola * Apuntador al inicio de la cola * Nodos
Arboles Un árbol es una estructura dinamica no lineal en la que cada nodo puede apuntar a uno o varios nodos. Definición recursiva: un árbol es una estructura en compuesta por un dato y varios árboles.
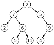
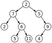
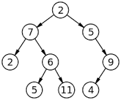
Elementos Básicos de un Árbol (1) Nodo RAÍZ: Todos loa árboles que no esta vacíos tienen un único nodo raíz. Todos los demás nodos derivan o descienden de el. HOJA. Se le llama hoja o Terminal a aquellos nodos que no tienen ramificaciones
Elementos Básicos de un Árbol (2) Nodo PADRE: 7 es padre (o antecesor) de 6 sí y solo sí el nodo 5 apunta a 6.
Elementos Básicos de un Árbol (3) Nodo HIJO: 6 es hijo (o descendiente) de 7, sí y solo sí el nodo 6 es apuntado por 7.
Elementos Básicos de un Árbol (4) HERMANO: Dos nodos serán hermanos si son descendientes directos de un mismo nodo.
Caracteristicas de un Árbol *GRADO. Es el número de descendientes directos de un determinado nodo. *GRADO O ALTURA DEL ÁRBOL Es el máximo grado de todos los nodos del árbol. *NIVEL. Es el número de arcos que deben ser recorridos para llegar a un determinado nodo.
Show full summary Hide full summary

Similar

Mapa Conceptual - Arreglos
ciroivan94
Examen Fundamentos Basicos de Programación
Jose Valderrama0721
Evaluación de Programación (MYSQL y PHP)
Mitchel Romero C
Herencias de clases
Manuel Espin
Proceso de desarrollo de software
Julian Carvajal
Algoritmo en programación
Ociel Cruz
Partes de la computadora
Lucia Beltran
software WinUnisoft
Luis Sanchez9892
Conceptos Básicos de la Programación
jefferson barrero
Prueba Corta
Mishelle Barragán
programación web
GERSSON GIOVANY RUBIO GONZALES