Mat

Description

pg pa
Marco Aurelio
Flashcards by Marco Aurelio, updated more than 1 year ago
Marco Aurelio
Created by Marco Aurelio over 8 years ago
21
0

Resource summary

Question Answer
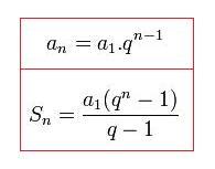
PG
PA
Juros Simples j = C · i · n
Montante Simples M = C · (1 + i · n)
Juros Composto M(n) = C · (1 + i)n
Analise Combinatoria
achar vertice
relações triangulo
Show full summary Hide full summary

Similar

Introdução a teoria dos conjuntos
Marcos Antonio
flashcard geral
Rodrigo Pérez
Organização que aprende
Luan Dorietto
vai funcionar
cesar.2f
Aulas Escola
Bruno Henrique A
Os ângulos congruentes são aqueles
Juliana Feijao
operações envolvendo conjuntos
Marcos Antonio
Matemática
laurahinnah
Matemática Aula 01: Fernando
Gabriel Dantas
Progressão aritmética
Guilherme Torres