Cinemática / Dinâmica / Estática

Description

Mind Map on Cinemática / Dinâmica / Estática, created by Daniel Furini on 03/02/2015.
Daniel Furini
Mind Map by Daniel Furini, updated more than 1 year ago
Daniel Furini
Created by Daniel Furini almost 11 years ago
49
3

Resource summary

Cinemática / Dinâmica / Estática
  1. Cinemática
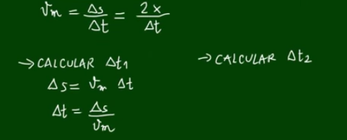
    1. Vm = ∆s (Distância percorrida) / ∆t (Tempo gasto)
      1. MRU ( Movimento Retilíneo Uniforme )
        1. Velocidade Constante
          1. Aceleração = 0
            1. ∆s = v ( Velocidade ) . t ( Tempo )
          2. MRUV ( Movimento Retilíneo Uniforme Variado)
            1. Velocidade Varia "Uniformemente"
              1. Aceleração contante
                1. Exemplo: Gravidade Aceleração = (10 m/sˆ2)
                  1. Passado x segundos a velocidade vai ser (x . 10m/s )
                  2. Equação (Posição) : ∆s 's-s0' = V0.t + (atˆ2) / 2
                    1. Equação (Velocidade) : V = v0 + a.t
                      1. Equação de Torricelli ( Independente do tempo ) : Vˆ2 = V0ˆ2 + 2a.∆s
                        1. Equação (Não depende da aceleração) : ∆s/∆t = (V + V0) / 2
                      2. Exercicios
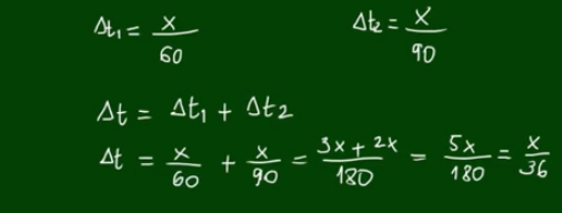
                        1. Durante una prueba de rendimiento de un coche , el conductor corrió la primera mitad de la pista con una velocidad media de 60 km / h y la segunda mitad a 90 km / h. ¿Cuál es la velocidad media recorrida durante la prueba completa en km / h ?
                          1. Um trem de 150 m de comprimento atravessa uma ponte em 35 segundos. A velocidade do trem é de 36 km/h. Qual o comprimento da ponte?
                        2. Estática
                          1. Equilibrio ( resultado de todas as forças ) = 0
                            1. Exercicio
                              1. Exercicio
                                1. Decomposição de Vetores
                            2. Dinâmica
                              1. F ( Força resultante 'vetor' ) = m . a 'vetor'
                                1. II Lei de Newton ( F = m.a )
                                  1. Desenhe, Aplique a lei e some
                                Show full summary Hide full summary

                                Similar

                                Leis de Newton.
                                GoConqr suporte .
                                Física: Mecânica - Cinemática
                                GoConqr suporte .
                                Óptica Geométrica
                                Sara Soares
                                Termodinâmica.
                                Giovanna Coelho Menezes
                                Movimento Uniforme e Movimento Uniformemente Variado
                                GoConqr suporte .
                                Leis de Newton
                                GoConqr suporte .
                                Movimento Uniforme e Movimento Uniformemente Variado
                                Stefani Belli
                                Campo Elétrico (E)
                                lucas curcio
                                1 Números inteiros, racionais e reais 1.1 Problemas de contagem
                                Geanderson Rodrigues
                                Medidas Elétricas
                                Andressa Silva