null
US
Sign In
Sign Up for Free
Sign Up
We have detected that Javascript is not enabled in your browser. The dynamic nature of our site means that Javascript must be enabled to function properly. Please read our
terms and conditions
for more information.
Next up
Copy and Edit
You need to log in to complete this action!
Register for Free
27222020
ECUACIÓN VS FUNCIÓN
Description
ALEXIS VEGA 2DN33
No tags specified
primero
Mind Map by
Alexis Vega
, updated more than 1 year ago
More
Less
Created by
Alexis Vega
about 5 years ago
2
0
0
Resource summary
ECUACIÓN VS FUNCIÓN
SEMEJANZAS
Ambas tienen que lidiar con las coordenadas X y Y y los puntos en una gráfica, pero tienen diferencias en sus limitaciones, apariencia y próposito
ECUACIÓN
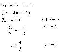
Igualdad entre dos expresiones que contienen una o más variables.
CARACTERÍSTICAS
-Los miembros son las expresiones que aparecen a cada lado del signo de igualdad.
Los términos son los sumados que forman los miembros.
Las incógnitas son las letras.
FUNCIÓN
Es una expresión matemática que realiza operaciones entre una o más variables para obtener una imagen.
CARACTERÍSTICAS
-Tienen una variabilidad
-Contiene un dominio
-La función puede ser positiva o negativa.
-Determina si es creciente o decreciente.
Media attachments
Ecuacion (image/gif)
Ao Skjr79 R Ptw Sv9fa Kjd Et Lwgv Jzi 9b9y P6 H Ecn1 Na Taa6 Vibqb D Ghis Dv P6 Xn1 Af Pf Mmc9r I Xk098 Pv Lz0 Mq Fj Nmca R Sa I8 Kk Df Ow0 Ff T Wqi Ojlt U Da O C Nk74 L Kws5 S Yz R2eu F (image/jpeg)
Pnll Nh Il Vofy Lo7 Tm Vg Ob O Oav T2lw J1 F Mk Dfpg Evmblui Lg41 K Hi Ff1i W Iqkj Esie Qv R Zoay0 Qo4 Ol Eyb Ce4 Y36 Jv Oru Cy A O5 5b Sjr2 Y02 T8 Wb Vxaru E Gv3u Blxfdrm Hp Vg Toa Og 6 Obuul C2 I (image/gif)
Show full summary
Hide full summary
Want to create your own
Mind Maps
for
free
with GoConqr?
Learn more
.
Similar
Browse Library