null
US
Sign In
Sign Up for Free
Sign Up
We have detected that Javascript is not enabled in your browser. The dynamic nature of our site means that Javascript must be enabled to function properly. Please read our
terms and conditions
for more information.
Next up
Copy and Edit
You need to log in to complete this action!
Register for Free
3075460
Medidas Estadísticas Descriptivas
Description
S3A7- Estadística- 3359683
No tags specified
estadística
medidas estadísticas descriptivas
moda
mediana
variación
formulas
media
Mind Map by
laudett Is
, updated more than 1 year ago
More
Less
Created by
laudett Is
almost 11 years ago
104
1
0
Resource summary
Medidas Estadísticas Descriptivas
Características esenciales que describe una serie numérica de datos:
1. Medidas de Tendencia Central
Media Aritmética
Media: datos sin agrupar
Media: datos agrupados
Media ponderada
Mediana
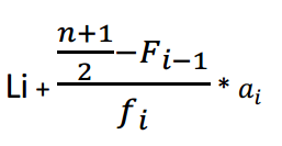
Mediana: datos agrupados
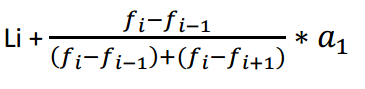
Moda
2. Medidas de Posición
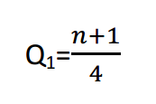
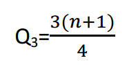
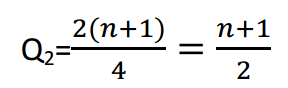
cada distribución de datos se divide en 3 cuartiles, que divide los datos en 4. Se obtienen así:
Para hallar el intervalo donde se ubica el cuartíl:
3. Medidas de Variación o Dispersión
Dos muestras pueden tener la misma media, pero formas sumamente distintas.
Medidas que permiten cuantificar la dispersión de los datos son:
Rango o recorrido
Diferencia entre dato mayor y dato menor.
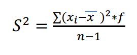
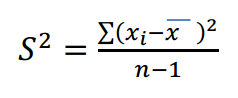
Varianza y desviación estándar
Varianza: es aprox. el promedio de las diferencias cuadradas entre cada 1 de las observaciones en una serie de datos y media.
Para saber que tan alejados están los datos de la media: Formula de la varianza:
Para datos agrupados:
Coeficiente de variación
Es una medida relativa de variación. Se expresa como un porcentaje y se denota por el símbolo CV:
4. Medidas de Forma
La manera en la que se distribuyen los datos determina su forma. Para describirla se compara la media y la mediana.
Grafica de Caja y Sesgos
Media attachments
eec3694a-0e81-4d13-b83d-8fce87dd70bf.gif (image/gif)
4661071c-236a-401c-ba09-1b8a53fd7a91 (image/png)
36548e5a-0254-4ea7-b058-d677575fcc80 (image/png)
b8be1d90-cf43-4818-8c4f-0e7e05be9bdc (image/png)
a4e63b49-ae22-41be-b812-c45edbb55a8a (image/png)
3357365f-0bad-41dc-b8e3-cb3d29b3f1e1 (image/png)
a100aeb2-08f8-4138-80da-2a736a435ac3 (image/png)
27f22450-52f3-4afb-81f2-949256c6d180 (image/png)
da447ac7-12ed-45c5-8abd-32204a454878 (image/png)
fd6d9ef7-2f36-4e6e-9c8b-f4835560a74f (image/png)
c1e0f73d-4038-4a70-a5f2-2318a503693d (image/png)
39176957-4bf2-45d2-94f9-0a3f77845be7 (image/png)
39d0342f-028f-4b2b-a245-a0acff4c6b26 (image/png)
a4a2c88a-9283-41d6-861c-797d6e95a220 (image/png)
88a053af-025c-4d20-98a4-9a25268fe0d1 (image/png)
c9d11081-6260-483e-ad9e-0964576d179d (image/png)
6d6406ef-be80-419a-b95c-4d8f26244e70 (image/png)
Show full summary
Hide full summary
Want to create your own
Mind Maps
for
free
with GoConqr?
Learn more
.
Similar
la geometría y el diseño de modas
yineth Becerra
MAPA MENTAL ESTADISTICA
fidel451
BIOESTADISTICA
Ad Card
Etapas para el inicio de una investigación estadística
carlos taramuel
PRUEBA DE ESTADÍSTICA GRADO SEPTIMO
jennydaza28
HISTORIA DE LA MODA
laura juanna
MODA
RosyAlonzo
Test de Moda & Style
Cristian Peñuela
Medidas de tendencia central
jojabravo
Estadística para Ciencias Sociales
Mariana Rosas Godínez
Probabilidad y Estadistica
Yessnia Vianey
Browse Library