null
US
Sign In
Sign Up for Free
Sign Up
We have detected that Javascript is not enabled in your browser. The dynamic nature of our site means that Javascript must be enabled to function properly. Please read our
terms and conditions
for more information.
Next up
Copy and Edit
You need to log in to complete this action!
Register for Free
3089595
Flip - Flops
Description
detalles de los flip flops
No tags specified
flip
flop
detalle
Mind Map by
Cristian Vásquez
, updated more than 1 year ago
More
Less
Created by
Cristian Vásquez
over 10 years ago
31
0
0
Resource summary
Flip - Flops
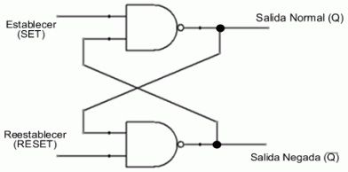
Son dispositivos de dos estados, que sirven como memoria para el almacenamiento de datos numéricos binarios.
Pueden tener varias entradas, dependiendo del tipo de las funciones internas que realice, y tiene dos salidas.
Están conformados por compuertas NAND o dos compuertas NOR con dos entradas
Media attachments
a4c0affa-bee4-4a4d-aebc-553bea24a7de (image/jpg)
d28b9dcd-884b-436f-b461-9f2b5fe6a553 (image/jpg)
Show full summary
Hide full summary
Want to create your own
Mind Maps
for
free
with GoConqr?
Learn more
.
Similar
FLIP FLOP T
Stefanie Sanchez Cifuentes
FLIP FLOP RS
Stefanie Sanchez Cifuentes
Flip Flop T
Cristian Vásquez
FLIP-FLOP T (TOOGLE)
Ana Pereira
FLIP FLOP JK
Ana Pereira
FLIP FLOP JK
Cristian Vásquez
Flip Flop SR
Cristian Vásquez
Mapa Mental Diseño Grafico.
Nancy VCG
EL DENGUE
liliana quintero
Mapa mental de las fases del diseño gráfico
Andrea Cuevas
MAPA MENTAL DE LAS FASES DEL DISEÑO GRÁFICO
Ana Joselyn MH
Browse Library