null
US
Sign In
Sign Up for Free
Sign Up
We have detected that Javascript is not enabled in your browser. The dynamic nature of our site means that Javascript must be enabled to function properly. Please read our
terms and conditions
for more information.
Next up
Copy and Edit
You need to log in to complete this action!
Register for Free
3204095
SAB7#53 Seq_Activities
Description
Mind Map on SAB7#53 Seq_Activities, created by MoisesHGoyos on 15/08/2015.
Mind Map by
MoisesHGoyos
, updated more than 1 year ago
More
Less
Created by
MoisesHGoyos
over 10 years ago
17
0
0
Resource summary
SAB7#53 Seq_Activities
Schedule MGMT Plan
Identify methods and time tools
Activities List
Consider dependencies and constraints
Attributes Activities
Consider dependencies and constraints
List of Milestones
define relationship between predecessors an sucessors
Project Scope Statements
helps ensure accuracy
EEFs
Standar of industry, PMIs
OPAs
Politics, Process
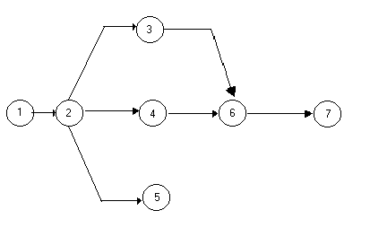
Project Schudule Network Diagram
Upgrade Project Documents
Determine dependencies
PDM (Precedence Diagramming Method)
Leads and Lags
Media attachments
ee075b28-aaec-4c29-965c-19123def9d13 (image/png)
Show full summary
Hide full summary
Want to create your own
Mind Maps
for
free
with GoConqr?
Learn more
.
Similar
Browse Library