Modelos estadisticos

Description

Modelos estadisticos
majo perez
Mind Map by majo perez , updated more than 1 year ago
majo perez
Created by majo perez over 10 years ago
25
0

Resource summary

Modelos estadisticos
  1. El modelo estadístico consiste en una serie de procedimientos para el manejo de los datos cualitativos y cuantitativos de la investigación.
    1. Tiene las siguientes etapas:
      1. Recolección (medición)
        1. En esta etapa se recoge la información cualitativa y cuantitativa señalada en el diseño de la investigación.
        2. Recuento (computo)
          1. En esta etapa del método estadístico la información recogido es sometida a revisión clasificación y computo numérico.
          2. Presentación
            1. En esta etapa del método estadístico se elaboran los cuadros y los gráficos que permiten una inspección precisa y rápida de los datos.
            2. Descripción
              1. En esta etapa la información es resumida en forma de medidas que permiten expresar de manera sintética las principales propiedades numéricas de grandes series o agrupamiento de datos.
              2. Análisis
                1. En esta etapa mediante formulas estadísticas y el uso de tablas específicamente diseñadas, se efectúa la comparación de las medidas de resumen previamente calculadas.
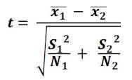
            3. T de student
              1. Es una distribución de probabilidad que surge del problema de estimar la media de una población normalmente distribuida cuando el tamaño de la muestra es pequeño.
                1. Desapareada
                  1. Las pruebas t desapareadas o de muestras independientes, se utilizan cuando se obtienen dos grupos de muestras aleatorias, independientes e idénticamente distribuidas a partir de las dos poblaciones a ser comparadas.
                  2. Apareadas
                    1. Las pruebas t de muestras dependientes o apareadas, consisten típicamente en una muestra de pares de valores con similares unidades estadísticas, o un grupo de unidades que han sido evaluadas en dos ocasiones diferentes
                2. ANOVA
                  1. Las pruebas t de muestras dependientes o apareadas, consisten típicamente en una muestra de pares de valores con similares unidades estadísticas, o un grupo de unidades que han sido evaluadas en dos ocasiones diferentes
                  2. Regresión múltiple
                    1. Un método multivariado para determinar una ecuación de regresión o predicción para predecir un valor de la variable dependiente a partir de un conjunto de variables independientes.
                    Show full summary Hide full summary

                    Similar

                    MÉTODO ESPIRAL
                    David MV
                    Metodo Estadistico
                    Jhonatan Diaz
                    Estadística: definiciones
                    MatíasOlivera
                    Historia De la teoría Atómica
                    Ernesto LOLO
                    FUNCION CUADRATICA
                    HECTOR ESPINOZA HERNANDEZ
                    Método científico
                    Carlos Eduardo Solano González
                    Modelo Pedagógico de la Formación Profesional Integral del SENA
                    vanepbr
                    Congorn
                    Diego Ramos
                    METODO CUALITATIVO
                    julian eduardo
                    Modelo de evaluación curricular propuesto por Daniel Stufflebeam
                    guillermina parra
                    MODELO DE CALIDAD BOEHM
                    fernandojaya92