Funciones

Description

tipos de funciones
soraya_aquino
Mind Map by soraya_aquino, updated more than 1 year ago
soraya_aquino
Created by soraya_aquino over 10 years ago
67
0

Resource summary

Funciones
  1. Es función cuando una variable depende de la otra, relación uno a uno:
    1. DOMINIO: valores correspondientes para variable Indep.
      1. Continua: cuando toma cualquier numero (incluyendo decimales y fracciones) (a,b)
        1. Discreta: valores pueden enumerarse {0,1,2,3...}
        2. RANGO: valores de la variable dependiente
        3. NO es función cuando corta en más de un punto
          1. LINEAL
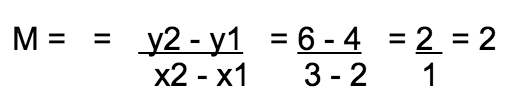
            1. Sabes que es lineal por tener un cambio constante o pendiente constante
              1. Reconocer Ecuación Lineal: Determinar el cambio constante mediante la sig. fórmula y se debe obtener el mismo resultado --->
                1. Obtener la ecuación de una función lineal es ---->
                  1. Función Lineal en la ECONOMÍA:
                    1. Función Costo: CT= CF + CV
                      1. FUNCIÓN INGRESO: Ingreso = Precio x Cantidad de unidades vendidas
                        1. FUNCIÓN UTILIDAD: Utilidad= Ingreso (x) - (Costos fijos + Costos variables )
                          1. PUNTO DE EQUILIBRIO: Ni ganancias ni perdidas GANANCIA: Más ingresos que perdidas PÉRDIDA: Más gastos que ingresos
                            1. Se iguala en la ecuación de utilidad a 0
                  2. EXPONENCIAL
                    1. Cuando aumentan o disminuyen de manera rápida y no de forma constante
                      1. Se caracteriza por tener un factor de cambio constante y lo identificamos multiplicandolo por un término se obtiene el siguiente
                        1. ECUACIÓN EXPONENCIAL: y= b.a^x a= factor de cambio b= intersección con el eje
                          1. VIDA MEDIA: es el tiempo que tarda una cantidad en reducirse a la mitad
                            1. y= b.a ^x/n
                              1. B= valor inicial, si no se da la tasa se toma como 100 %= 1 a= factor de cambio x=cambia en intervalos de N en N
                            2. DUPLICACIÓN: es lo que tarda en duplicarse
                              1. Obtener la tasa (razón ó ritmo) de cambio: a= 1 + r si crece a= 1 - r si decrece
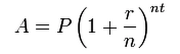
                                1. Función Exponencial en FINANZAS:
                                  1. INTERES COMPUESTO ó CAPITALIZABLE: Cuando se invierte dinero, se ganan intereses , al no retirarlos se ganan más intereses.
                                    1. 1=b.(1/3) 2/3 = b=2.08
                                2. Ejemplo Libro
                                  1. Expresada: y=3.4 x/25
                              2. Gráfica Exponencial
                              3. Puedes encontrar funciónes de la siguinete manera: *GRÁFICA *TABLA *FUNCIÓN
                                Show full summary Hide full summary

                                Similar

                                Funciones - Test
                                sofialeone
                                Aplicaciones de las derivadas
                                Marta Arroyo
                                FUNCIONES
                                Patricio Coloma
                                Funciones Exponenciales y Logarítmicas
                                Ximena Olivera
                                Sistema de ecuaciones
                                MaruGonzalez
                                Álgebra lineal
                                Hugo Garzón
                                ESTRUCTURAS Y FUNCIONES DEL SISTEMA NERVIOSO
                                Paola Andrea Joya Ramirez
                                Funciones Matemáticas
                                maya velasquez
                                Las Hipótesis
                                NEIL BERNAL R.
                                Currículo
                                Fernanda Espinoza
                                Funciones o Fórmulas en Excel
                                Esteban Quesada