RADICALES

Description

Radicales y sus operaciones
Jose Luis Saura
Mind Map by Jose Luis Saura, updated more than 1 year ago
Jose Luis Saura
Created by Jose Luis Saura about 10 years ago
283
1

Resource summary

RADICALES
  1. Si a≥0 vale todo n
    1. Si a<0 solo n impar
      1. Expresión General
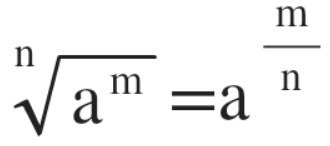
        1. Radical como potencia
          1. Si m y n múltiplos SIMPLIFICAR
          2. Propiedades
            1. Potencia de radical
              1. Raíz de radical
              2. PRODUCTO Y DIVISIÓN
                1. Indice Común
                  1. m.c.m
                2. SUMA Y RESTA
                  1. Indice Común
                    1. Radicando =
                      1. Radicales Semejantes
                    2. INTRODUCIR
                      1. "cobro" de n
                      2. EXTRAER
                        1. "pago" a n
                        Show full summary Hide full summary

                        Similar

                        Números Complejos
                        Sofía Sánchez Pé
                        Test Numeros Reales
                        yiselasosa120
                        NOTACIÓN CIENTÍFICA
                        Snaider
                        Números Reales
                        rejublog
                        EXAMEN RAZONAMIENTO CUANTITATIVO
                        fralblan14
                        Matemáticas Materia Nº1: Números Reales
                        Constanza Hernandez
                        Vocabulario de Álgebra -Expresiones Algebraicas-
                        Mago Ballack
                        Funciones Químicas Inorgánicas
                        Diego Jaimes Novelo
                        Relaciones matemáticas en los números reales
                        Alef15
                        CONCEPTOS FUNDAMENTALES "MATEMATICAS"
                        damian pazmiño