Unidad 2 (Principio de trabajo invertido).

Description

Mapa mental
lmezaa
Mind Map by lmezaa, updated more than 1 year ago
lmezaa
Created by lmezaa over 10 years ago
747
0

Resource summary

Unidad 2 (Principio de trabajo invertido).
  1. • Trabajo o El trabajo realizado por una fuerza es el producto entre la fuerza y el desplazamiento realizado en la dirección de ésta. Como fuerza y desplazamiento son vectores y el trabajo un escalar (no tiene dirección ni sentido) definimos el diferencial de trabajo como el producto escalar dW=F.dr. Si la fuerza y el desplazamiento tienen el mismo sentido, el trabajo es positivo, si la fuerza y el desplazamiento tienen sentidos contrarios, el trabajo es negativo, si la fuerza es perpendicular al desplazamiento, el trabajo es nulo.
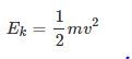
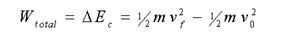
    1. • Energía cinética: Si realizamos un trabajo W sobre una partícula aislada, ésta varia su velocidad a lo largo de la trayectoria de modo que podemos relacionar el trabajo W con la variación de la energía cinética de la partícula mediante la expresión:
      1. • Fuerzas conservativas: o Una fuerza es conservativa si el trabajo total que realiza a lo largo de una trayectoria cerrada, es decir regresando a la misma posición de la que parte, es cero.
        1. Energía potencial : La energía potencial es el trabajo de las fuerzas conservativas cambiado de signo es decir : W = -DU .El peso (W) es una fuerza conservativa. La energía potencial Ep correspondiente a la Fuerza conservativa peso, tiene la forma funcional Ep=mgy+C .La fuerza que ejerce un muelle es conservativa Para x>0, F=-kx Para x<0, F=kx.
          1. • Conservación de la energía o Si sobre un cuerpo sólo se realizan fuerzas conservativas la suma de las energías potencial más cinética siempre permanece constante.
            1. • Potencia o La potencia es la energía transferida por unidad de tiempo. Si una fuerza F actúa sobre una partícula que se mueve con una velocidad v la potencia puede calcularse como P=F.v o
              1. http://fisica.laguia2000.com/energia/conceptos-basicos-de-energia http://www.sc.ehu.es/sbweb/fisica_/dinamica/trabajo/energia/energia3.html
                Show full summary Hide full summary

                Similar

                aprendizaje invertido
                yeimer.trujillo
                APRENDIZAJE INVERTIDO
                Eleany Rivera
                Aprendizaje Invertido
                Patricia Gaitan
                APRENDIZAJE INVERTIDO
                cindy paola rios gonzalez
                Aprendizaje Invertido
                Maricel de Gpe. Ibarra Guerrero
                aprendizaje invertido 1
                Alfonso Carlos Navarro Molina
                APRENDIZAJE INVERTIDO3
                Alfonso Carlos Navarro Molina
                Tendencia corto plazo 1
                Angela Taveras