Productos y cocientes de potencias

Description

Mapa Mental de Productos y cocientes de potencias
Emi Olayo
Mind Map by Emi Olayo, updated more than 1 year ago
Emi Olayo
Created by Emi Olayo over 10 years ago
42
0

Resource summary

Productos y cocientes de potencias
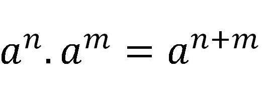
  1. Productos de potencias de la misma base
    1. El producto es igual a esa base
      1. El exponente es igual a la suma de los exponentes de los factores
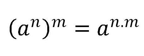
    2. Potencias de una potencia
      1. Es igual a la misma base
        1. Su exponente es igual al producto de los exponentes
      2. Potencias de un producto
        1. Equivale a elevar cada uno de los factores a la potencia indicada
          1. (a2 b5)3=a(2)(3) b(5)(3)=a12 b15
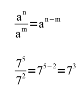
        2. Cociente de potencias
          1. En la división de potencias de la misma base:
            1. El cociente se obtiene:
              1. Anotando la misma base
              2. El exponente:
                1. Es igual a la resta del exponente del dividendo menos el exponente del divisor
              3. Potencia de exponente cero
                1. Todo número diferente de cero, con exponente cero es igual a la unidad
                2. Potencia de exponente negativo
                  1. Todo número con exponente negativo es igual a una FRACCIÓN
                    1. El numerador es igual a la unidad (1)
                      1. El denominador es el mismo número, pero con exponente POSITIVO
                        1. NOTA:: X5/X6= X5-6= X-I = I / X
                        Show full summary Hide full summary

                        Similar

                        Aplicaciones de las derivadas
                        Marta Arroyo
                        Sucesiones Aritméticas
                        Elaine del Valle
                        EXAMEN DE MATEMÁTICAS 1ER GRADO SECUNDARIA 5to Bim
                        FELIPE SOLTERO
                        Ecuaciones Estadísticas
                        Diego Santos
                        Matemáticasen la VidaCotidiana
                        Diego Santos
                        OPERACIONES CON POLINOMIOS
                        Leticia Pérez Nicolás
                        FRACCIONES...
                        JL Cadenas
                        Tablas (1) del 0, 1, 2, 3, 4, 5, 6, 7, 8, 9 y 10
                        Miguel Greciano
                        Ejemplos de Preguntas de Pensamiento Analítico
                        Raúl Fox
                        FACTORIZACION DE POLINOMIOS
                        Faber Garcia
                        FRACCIONES...
                        Ulises Yo