null
US
Sign In
Sign Up for Free
Sign Up
We have detected that Javascript is not enabled in your browser. The dynamic nature of our site means that Javascript must be enabled to function properly. Please read our
terms and conditions
for more information.
Next up
Copy and Edit
You need to log in to complete this action!
Register for Free
3741492
cociente de potencias
Description
tarea cociente de potencias cuadro mental
No tags specified
tareaa
Mind Map by
frydasmillan
, updated more than 1 year ago
More
Less
Created by
frydasmillan
over 10 years ago
5
0
0
Resource summary
cociente de potencias
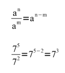
el cociente se obtiene anotando la base
aM=
aN
el exponente es igual a la resta
aM-N
(x3)4=x(3)(4)=x12
(x3)(x3)(x3)(x3)
=x12
(x)(x)(x)(x)(x)(x)(x)(x)(x)(x)(x)(x)
x8
x8
=1
Media attachments
61e6ceaf-6823-431d-91a3-40e97e0eeb51 (image/png)
Show full summary
Hide full summary
Want to create your own
Mind Maps
for
free
with GoConqr?
Learn more
.
Similar
"Potencias"
Gabriela Andrade Chica
Rhodococcus equi
julio.elizalde
Diagrama de Flujo
aless ferrer
ESTRUCTURAL FUNCIONALIMO
paulina ortiz alcantara
1_3_Aprendisaje animal y aporte de los procesos cognitivos
Lea Feliz
3_Aprendisaje animal y aporte de los procesos cognitivos
Lea Feliz
Browse Library