Ácidos Nucleicos

Description

Mind Map on Ácidos Nucleicos, created by carlavv200 on 22/01/2014.
carlavv200
Mind Map by carlavv200, updated more than 1 year ago
carlavv200
Created by carlavv200 about 12 years ago
781
0

Resource summary

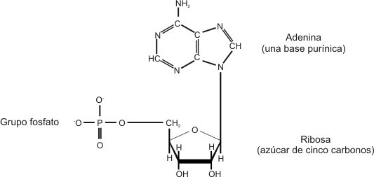
Ácidos Nucleicos
  1. Son grandes polímeros
    1. Formado por nucleótidos
      1. Unidos por enlaces fosfodiéster
        1. Almacena información genética

          Annotations:

          • de los seres vivos
          1. Existen dos tipos
            1. ADN
              1. ARN
            2. Forman largas cadenas
              1. Responsables de transmisión genética
                1. Participan en síntesis proteica
                  1. Son macromoléculas lineales
                    Show full summary Hide full summary

                    Similar

                    MACROMOLECULAS NATURALES Y SINTETICAS
                    Aline Rosas
                    Ácidos Nucleicos
                    Laureano Cattaneo
                    ÁCIDOS NUCLEICOS
                    Paula Thomson
                    Macromoléculas
                    Rogelio Ortega
                    Evaluación Biomoléculas
                    Rolando Tirado Cruz
                    Ácidos Nucleicos
                    loretogabler1997
                    BIOMOLECULAS
                    sara baltazar manzano
                    Macromoléculas
                    ASTRID NAVARRO JARQUIN
                    BIOMOLECULAS ORGANICAS
                    karot mosquera
                    Ácidos Nucleicos
                    Fabián Dávila
                    Ácidos nucleicos y carbohidratos.
                    Ivan Salas