Estadistica

Description

todo psicologo nesesita de la estadistica descriptiva aqui un mapa con lo mas sobresaliente
jesica Najera
Mind Map by jesica Najera, updated more than 1 year ago
jesica Najera
Created by jesica Najera about 9 years ago
9
0

Resource summary

Estadistica
  1. Descriptiva
    1. organizar
      1. resumir
        1. presentar
        2. muestra
          1. subconjunto de elementos de la población estadística
          2. poblacion
            1. conjunto de sujetos o individuos con determinadas características
            2. variable
              1. independiente
                1. dependiente
                2. datos
                  1. cualitativos
                    1. categorias
                      1. nominal
                        1. clasificar (pertenece a algo)
                        2. ordinal
                          1. ordenar (distancia entre los valores
                      2. cuantitativos
                        1. intervalar
                          1. el cero es arbitrario
                          2. de razon
                            1. el cero es absoluto
                        2. medidas de tendencia central
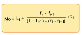
                          1. moda
                            1. dato que se repite con mayor frecuencia
                              1. Mo.
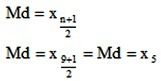
                            2. mediana
                              1. el valor que esta en el centro de una serie de datos
                                1. Me
                                  1. posicion de la mediana
                                2. media aritmetica
                                  1. punto de equilibrio o promedio
                                3. medidas de dispercion
                                  1. desviacion estandar
                                    1. hallar la raíz cuadrada de la varianza
                                    2. Rango para datos no agrupados;
                                      1. R = Xmáx.-Xmín = Xn-X1
                                      2. varianza
                                        1. se define como: el cuadrado medio de las desviaciones con respecto a su media aritmética
                                        2. coeficiente de variacion
                                          1. representa el número de veces que la desviación típica contiene a la media aritmética y por lo tanto cuanto mayor es CV mayor es la dispersión y menor la representatividad de la media.
                                        3. datos agrupados
                                          1. moda
                                            1. Es el valor que representa la mayor frecuencia absoluta. En tablas de frecuencias con datos agrupados, hablaremos de intervalo modal.
                                            2. mediana
                                              1. Es el valor que ocupa el lugar central de todos los datos cuando éstos están ordenados de menor a mayor. La mediana se representa por Me. La mediana se puede hallar sólo para variables cuantitativas.
                                            3. tipos de graficas
                                              Show full summary Hide full summary

                                              Similar

                                              MAPA MENTAL ESTADISTICA
                                              fidel451
                                              Principios de Psicología
                                              anrago63
                                              Psicología Sistémica
                                              Ricardo Alonso Varela Omodeo
                                              PSICOLOGÍA DEL DISEÑO
                                              Brisia Montes Mendez
                                              PERSPECTIVAS TEÓRICAS DE LA PERSONALIDAD
                                              ROSA DAZA
                                              Historia de la Medición en Psicología
                                              adan perea
                                              PERIODOS DE LA PSICOLOGIA PRECIENTIFICA
                                              Julieth Guerra
                                              RESUMEN-PELICULA CYBERBULLY
                                              dario valenzuela
                                              Ecuaciones Estadísticas
                                              Diego Santos
                                              Psicología Sistémica
                                              Diego Santos
                                              Historia de la psicología
                                              Christian Camilo CORTES AGUILAR