Flexión pura

Description

Capitulos 4.1 a 4.5
Gonzalo Mata
Mind Map by Gonzalo Mata, updated more than 1 year ago
Gonzalo Mata
Created by Gonzalo Mata over 9 years ago
137
0

Resource summary

Flexión pura
  1. Elemento simétrico sometido a flexión pura
    1. Las fuerzas internas en cualquier sección trasversal de un elemento simétrico en flexión pura son equivalentes al par.
        1. El momento M se le conoce como:
          1. Momento flexionante
          2. Momento positivo:
            1. Momento negativo:
              1. Ecuaciones:
                1. Sumas de componentes y de los momentos de las fuerzas elementales
            2. Deformaciones en un elemento simétrico sometido a flexión pura
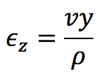
              1. La única componente del esfuerzo no nula
                1. Esfuerzo normal en x
                2. Cualquier punto de un elemento delgado, en flexión pura, se tiene un estado de
                  1. Esfuerzo uniaxial
                  2. La superficie neutra intersecta el plano de simetría según un arco de círculo
                    1. ro (
                      1. Theta el ángulo central
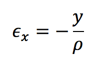
                      2. Deformación unitaria longitudinal
                        1. Varía linealmente con la distancia y desde la superficie neutra
                            1. El signo negativo porque se supone el momento flector positivo
                        2. Esfuerzos y deformaciones en el rango eslástico
                          1. El momento flexionante M es tal que los esfuerzos normales permanecen por debajo del esfuerzo de fluencia
                            1. Es decir, por debajo del límite elástico
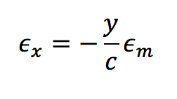
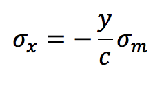
                            2. Esfuerzo normal:
                                1. Donde sigma m es el valor absoluto de esfuerzo
                                      1. Esfuerzo de flexión
                                      2. Ecuaciones de flexión elástica
                                        1. Podemos agregar el módulo elástico de la sección
                                          1. S = I/c
                                  1. Para determinar el esfuerzo máximo sólo se tiene que leer el valor de módulo elástico en una tabla y dividir el momento flector entre ese valor
                                  2. Deformaciones en una sección transversal
                                    1. Módulo de Poisson
                                          1. Los elementos encima de la superficie neutra se expanden en y y z
                                            1. Loa elementos por debajo se contraen
                                          2. Curvatura anticlásica
                                          Show full summary Hide full summary

                                          Similar

                                          Fase 5 Estática y Resistencia de Materiales
                                          JEIMY MORALES
                                          LAS FÓRMULAS DE LA TORSIÓN. DEDUCCIÓN
                                          José Grimán
                                          Esfuerzos cortantes en vigas y elementos de pared delgada
                                          Gonzalo Mata
                                          Fase 5 Presentación del Diseño
                                          Brayan Andres Pacheco Herreño
                                          Transformaciones de esfuerzos y deformaciones
                                          Gonzalo Mata
                                          UNIDAD 2 - ESFUERZO Y DEFORMACIÓN AXIAL
                                          JEIMY MORALES
                                          TORSIÓN EN EJES DE SECCIÓN CIRCULAR
                                          José Grimán
                                          Factor o coeficiente de Seguridad
                                          Mercy Cruz
                                          Mécanica de Materiales
                                          Hugo Alexander Orozco Correa
                                          El Proceso del Diseño Estructural
                                          ingemak
                                          Torsión
                                          Gonzalo Mata