INTERPOLAÇÃO

Description

Engenharia Mind Map on INTERPOLAÇÃO, created by Arthur Lambert on 31/10/2016.
Arthur Lambert
Mind Map by Arthur Lambert, updated more than 1 year ago
Arthur Lambert
Created by Arthur Lambert about 9 years ago
25
2

Resource summary

INTERPOLAÇÃO
  1. Interpolação de Newton
    1. dados n+! pontos, definir um polinomio de grau N
      1. Interpolação Linear

        Annotations:

        • A forma mais simples de interpolação é ligar dois pontos dados com uma reta
        1. f1(x) = f(x0) + f(x1) − f(x0) x1 − x0 (x − x0)
          1. será um polinomio de primeiro grau
          2. Erro
            1. Quanto maior o intervalo entre x0 e x1 , maior sera o erro relativo
          3. Interpolação Quadratica

            Annotations:

            • Possui  a finalidade de minimizar o erro cometido em uma interpolação linear
            1. fn(x) = b0 + b1(x − x0) +···+ bn(x − x0)(x − x1)···(x − xn−1)
              1. Polinomio de grau n-1, obtido atraves de N pontos,
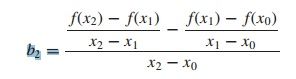
                1. Os coeficientes b0;b1;b2;b3;bn serão obtidos atraves de sucessivas divisoes
                  1. b0 = f(x0)
                    1. b1 = f(x1) − f(x0) x1 − x0 / x1 − x0
                    2. Erro
                      1. Rn = [f (n+1) (ξ) / (n+1) ] * (xi+1 − xi) n+1
                        1. onde ξ é algum ponto no intervalo xi a xi+1, ou seja jogar um ponto (maior) na derivada do erro
                2. SCILAB
                  1. Codigo nas notas

                    Annotations:

                    • function coef = coeficientesnewton (x,y) nPonto = lenght (x); // vai verificar a quantidade de pontos fornecida T= zeros (nPontos,nPontos); T(:,1)=y; // primeira coluna da tabela = Y //o scilab vai percorrer na vertical? for j=2:nPontos // primeiro for percorrendo a partir da segunda coluna for i=1:(nPontos-j+1) T(i,j)= (T(i+1,j-1) - T(i,j-1) ) /(x(j+i-1) - x(i)) end end coef= T(1,:); endfunction
                  2. Interpolação de Lagrange
                    1. dados 3 pontos, obtemos Lo (x0,y0) ; L1(x1,y1) ; L2 (x2,y2)
                      1. Lo=(x-x1)*(x-x2) / (Xo-x1)*(Xo-x2)
                        1. L1=(x-x0)*(x-x2) / (X1-x0)*(X1-x2)
                          1. L2=(x-x0)*(x-x1) / (X2-x0)*(X2-x1)
                            1. logo, P2(x)=Yo*Lo +Y1*L1 + Y2*L2
                          2. INTERPOLAÇÃO POR SPLINES
                            Show full summary Hide full summary

                            Similar

                            Engenharia
                            robson kuskowski
                            Introdução a Engenharia
                            ismael-airoso
                            Mapa Conceitual - Engenharia - Empreendedorismo e Inovação
                            Nathan Kaiser
                            ENGENHARIA CIVIL
                            Nayara Gil
                            Planejamento e Engenharia
                            Rodrigo Luiz
                            Desenvolvimento da engenharia e seus materiais.
                            luizmax10
                            Engenharia Econômica
                            Lucas Danilo
                            Perícia na Engenharia Civil
                            joaoneto alves
                            Produto de TI para Empresa de Engenharia
                            andreylopes
                            Engenharia Mecânica na Indústria do Entretenimento
                            ingridlopes
                            Física moderna
                            GoConqr suporte .