null
US
Sign In
Sign Up for Free
Sign Up
We have detected that Javascript is not enabled in your browser. The dynamic nature of our site means that Javascript must be enabled to function properly. Please read our
terms and conditions
for more information.
Next up
Copy and Edit
You need to log in to complete this action!
Register for Free
8251099
Practica de mapa mental
Description
La factorización por la forma ax2+bx+c, la forma x2+bx+c y factor comun
No tags specified
factor
diferencia de cuadrados
trinomio cuadrado perfecto
ingeniería
Mind Map by
Sofia Salas
, updated more than 1 year ago
More
Less
Created by
Sofia Salas
almost 9 years ago
355
0
0
Resource summary
Practica de mapa mental
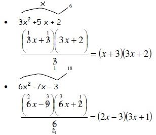
De la forma ax2+bx+c
Suma o diferencia de cubos
trinomio cuadrado perfecto
Factor común
De Binomios
Por agrupación
Diferencia de cuadrados
Polinomios
De la forma x2+bx+c
Trinomios
Media attachments
891e8a57-bd2f-4579-85ff-0259cab8387f (image/jpg)
f35b373c-ce40-43ce-8750-de34a843d4aa (image/jpg)
Show full summary
Hide full summary
Want to create your own
Mind Maps
for
free
with GoConqr?
Learn more
.
Similar
INGENIERIA DE MATERIALES
Ricardo Álvarez
Elementos Básicos de Ingeniería Ambiental
Evilus Rada
Historia de la Ingeniería
Camila González
Introducción a la Ingeniería de Software
David Pacheco Ji
UNIDAD II DIBUJO PROYECTIVO
anyimartinezrued
GENERALIDADES DE LAS EDIFICACIONES
yessi.marenco17
MAPA MENTAL SOFTWARE APLICADOS EN INGENIERÍA CIVIL
Ruben Dario Acosta P
Examen Ingeniería Electromecánica II
Jorge Cabrera7516
Normas que Rigen la Ingenieria Mecanica
Francisco Balderas Garcia
Estado de la ingenería mecánica y su perspectiva a futuro
Roberto Martinez
MAPA CONCEPTUAL SOBRE LA INICIATIVA CDIO
Victor Antonio Rodriguez Castañeda
Browse Library