null
US
Sign In
Sign Up for Free
Sign Up
We have detected that Javascript is not enabled in your browser. The dynamic nature of our site means that Javascript must be enabled to function properly. Please read our
terms and conditions
for more information.
Next up
Copy and Edit
You need to log in to complete this action!
Register for Free
9166720
VECTORES
Description
Mind Map on VECTORES, created by Carolina Tonidandel on 31/05/2017.
Mind Map by
Carolina Tonidandel
, updated more than 1 year ago
More
Less
Created by
Carolina Tonidandel
almost 9 years ago
968
0
0
Resource summary
VECTORES
Definición, expresión, elementos
Operaciones
Suma, resta
Productos
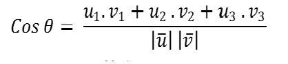
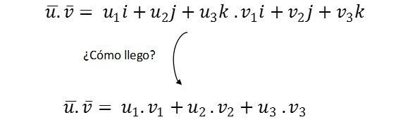
Escalar o punto
Definición-Propiedades
Cálculo con componentes
Aplicaciones
Vectorial o Cruz
Definición-Propiedades
Cálculo con componentes
Aplicaciones
Mixto
Definición-Propiedades
Aplicación
Condición de coplanaridad
Media attachments
Vector (image/png)
Suma Vectores (image/jpeg)
Proyeccionde Asobre B (image/jpeg)
Productovectorial (image/png)
Productoescalardef (image/jpeg)
Productomixto (image/png)
Productoescalarcomponentes (image/jpeg)
Angulo Entre Vectoresfigura (image/jpeg)
Vectores Perpendiculalres (image/png)
Fuerzaxdespl (image/jpeg)
Productovectorial Def (image/png)
Productovectorialcomponnetes (image/png)
Vectores En Plano (image/gif)
Paralelos (image/png)
Toruqe (image/jpeg)
Def Producto Mixto (image/png)
Vectores Coplanares (image/png)
Angulo Entre Vectores (image/jpeg)
Show full summary
Hide full summary
Want to create your own
Mind Maps
for
free
with GoConqr?
Learn more
.
Similar
Vectores en R2 y R3: Expresión algebraica de vector, norma, ángulos directores, vectores unitarios
Diana Páez
PROCESOS BÁSICOS GEOMETRÍA ESPACIAL
Paco Torres
vectores en 2 y 3 dimensiones
Leslie Leon
Qué es un plano en R3, cómo se identifican 2 planos paralelos y qué papel juegan en este tema los vectores normales.
jairo alberto valdeleon manrique
ELEMENTOS VECTORIALES
Leslie Leon
COMPONENETES DE UN VECTOR
juan david tiga
Elementos de los vectores
valencia campo j
Vectores - Conceptos Fundamentales
Jorge Roldan
VECTORES
Issac Fermin
Examen de Vectores Álgebra Básica
Enrique Israel|
Prueba de Fisica vectores
wagner sanchez
Browse Library