null
US
Sign In
Sign Up for Free
Sign Up
We have detected that Javascript is not enabled in your browser. The dynamic nature of our site means that Javascript must be enabled to function properly. Please read our
terms and conditions
for more information.
Next up
Copy and Edit
You need to log in to complete this action!
Register for Free
9314956
Fórmulas Notables (Mapa Conceptual)
Description
Fórmulas Notables
No tags specified
matemáticas
matemáticas
Mind Map by
Armando Solís
, updated more than 1 year ago
More
Less
Created by
Armando Solís
over 8 years ago
49
0
0
Resource summary
Fórmulas Notables (Mapa Conceptual)
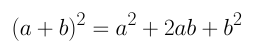
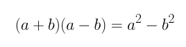
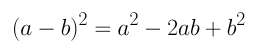
Una fórmula notable es una fórmula que funciona para escribir el producto de una expresión elevado a un número, sin necesidad de verificar la multiplicación.
Primera fórmula notable
Segunda fórmula notable
Tercera fórmula notable
Media attachments
Formu1 (image/png)
Formu2 (image/png)
Formu3 (image/png)
Show full summary
Hide full summary
Want to create your own
Mind Maps
for
free
with GoConqr?
Learn more
.
Similar
Ecuaciones (Primer Grado)
Diego Santos
Fórmulas Geométricas (Perímetros)
Diego Santos
7 Técnicas para Aprender Matemáticas
maya velasquez
Matemáticasen la VidaCotidiana
Diego Santos
FRACCIONES...
JL Cadenas
FRACCIONES...
Ulises Yo
Factorización de expresiones algebraicas_1
Juan Beltran
CÁLCULOS con [ 3 · 5 · 7 ]
JL Cadenas
Preguntas del Pensamiento Matemático
Diego Santos
Factorización de Expresiones Algebráicas
maya velasquez
Matrices y Determinantes
Diego Santos
Browse Library