Linear Equations And Functions

Description

Mind Map on Linear Equations And Functions, created by Nur Sakinah Isla on 29/10/2014.
Nur Sakinah Isla
Mind Map by Nur Sakinah Isla, updated more than 1 year ago
Nur Sakinah Isla
Created by Nur Sakinah Isla about 11 years ago
11
1

Resource summary

Linear Equations And Functions
  1. Introduction
    1. A Linear Equation is an equation for a straight line
      1. e.g.: ax+by=c
        1. Linear Function
          1. Y=F(x)=ax+b
      2. Intercepts and Slope
        1. x-intercept and y-intercept can be found by setting x/y=0
          1. slope:
          2. Finding the Equation of a Line
            1. Two-Point Form
              1. m1=m2
                1. y-y1/x-x1 = y2-y1/x2-x1
              2. Point-Slope Form
                1. When the line has slope & passes through point (x,y)
                  1. y-y0=m(x-x0)
                2. Slope Intercept Form
                  1. When given point (0,y) and slope m:
                    1. y-b = m(x-0) , y= mx+b
                3. Intersection of Straight Line
                  1. finding the point of intersection of two straight line
                  2. Parallel and perpendicular Line
                    1. Perpendicular Lines Two lines are Perpendicular if they meet at a right angle (90°). How do we know if two lines are perpendicular? When we multiply their slopes, we get −1
                      1. m1 = −1/m2 m2 = −1/m1
                        1. m1m2 = −1
                        2. Parallel Lines . Their slopes are the same!
                          1. The slope is the equation of a line: y = mx + b
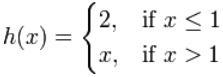
                        3. Piecewise Linear Function
                          1. Is a Function that defined by more then one rule.
                            1. Example: Here is another piecewise function:
                          Show full summary Hide full summary

                          Similar