Section 4- Energy Resources and Energy Transfer

Description

Cambridge IGCSE Physics (Section 4- Energy Resources and Energy Transfer) Mind Map on Section 4- Energy Resources and Energy Transfer, created by beccalaw7 on 11/24/2014.
beccalaw7
Mind Map by beccalaw7, updated more than 1 year ago
beccalaw7
Created by beccalaw7 over 11 years ago
19
1

Resource summary

Section 4- Energy Resources and Energy Transfer
  1. Sankey Diagrams
    1. Energy Input = Energy Output
    2. Heat Transfer
      1. Heat always goes from HOT to COLD
        1. Conductors + Insulators
          1. Conduction
            1. Heat vibrations= amplitude
              1. Metals have free electrons that can travel down the particle line and collide with others further along which speeds up the process- hence metals being good conductors.
              2. Convection
                1. Low energy, more dense, sinking, slower, further from heat source
                  1. High energy, less dense, rising, faster, closer to source
                  2. Radiation
                    1. Wave- Infra-red radiation
                      1. All objects above absolute zero emit and absorb infrared radiation.
                        1. An object hotter than its surroundings emits more radiation than it absorbs (as it cools down).
                          1. An object cooler than its surroundings absorbs more radiation than it emits (as it warms up).
                            1. Good reflector, poor absorber and emitter
                              1. best absorber and emitter
                        2. Insulation
                          1. Preventing heat transfer and stopping heat escaping.
                            1. Draught proof strips under door
                              1. Prevents convection + conduction
                                1. Vacuum Flask
                                  1. Silver inside- prevents radiation
                                    1. Screw cap- prevents convection and evaporation
                                      1. Vacuum- no air inside prevents conduction and convection
                                        1. Poorly conducting material- prevents conduction
                                      2. Work and Power
                                        1. Work done (J) = Energy transferred (J)
                                          1. Work done (J) = Force (N) x Distance (m)
                                            1. Power (W) = Work done (J) / Time (s)
                                              1. Power (W) = Current (A) x Voltage (V)
                                              2. Gravitational Potential Energy and Kinetic Energy
                                                1. Work done (J) = Energy transferred (J)
                                                  1. GPE = Mass (Kg) x Gravitational field strength (N/Kg) x Height (m)
                                                    1. GPE = mgh
                                                      1. Therefore, m = GPE / (g x h)
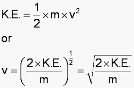
                                                      2. Kinetic energy (J) = 1/2 x Mass (Kg) x Velocity2 (m/s)
                                                        1. Law of conservation of energy = Ek max = Ep max
                                                          1. Ek= Kinetic energy Ep= GPE
                                                        2. Generating Electricity
                                                          1. Fossil fuels
                                                            1. Non-renewable + pollutes environment
                                                              1. Quick + easy method
                                                                1. Chemical
                                                                  1. Heat
                                                                    1. Kinetic
                                                                      1. Electrical
                                                                  2. Things that affect national grid electricity demand= time of day+year
                                                                  3. Nuclear Reactor
                                                                    1. Atoms of uranium or plutonium do nuclear fission. Releases lots of heat energy. Heat turns water into steam which turns a turbine attached to a generator, generating electricity.
                                                                      1. Nuclear
                                                                        1. Heat
                                                                          1. Kinetic
                                                                            1. Electrical
                                                                        2. A neutron is fired at a uranium nucleus to make it split. This creates heat energy. It's products are more neutrons and daughter nuclei.
                                                                          1. Renewable and efficient but creates nuclear waste which is buried and dangerous. Radioactivity contamination is a risk and they only last a certain number of years then have to be taken down.
                                                                        3. Renewable Energy
                                                                          1. Wind Turbines
                                                                            1. Kinetic
                                                                              1. Kinetic
                                                                                1. Electric
                                                                            2. Hydroelectric Power
                                                                              1. GPE
                                                                                1. Kinetic
                                                                                  1. Kinetic
                                                                                    1. Electrical
                                                                              2. Tidal + Wave
                                                                                1. Kinetic
                                                                                  1. Kinetic
                                                                                    1. Electrical
                                                                                2. Solar Cells
                                                                                  1. Light
                                                                                    1. Electrical
                                                                                  2. Solar Panels
                                                                                    1. Geothermal
                                                                                      1. Carbon Capture
                                                                                        1. Carbon neutral
                                                                                        Show full summary Hide full summary

                                                                                        Similar

                                                                                        AQA Physics P1 Quiz
                                                                                        Bella Statham
                                                                                        GCSE AQA Physics - Unit 3
                                                                                        James Jolliffe
                                                                                        Using GoConqr to study science
                                                                                        Sarah Egan
                                                                                        GCSE AQA Physics 1 Energy & Efficiency
                                                                                        Lilac Potato
                                                                                        Waves
                                                                                        kate.siena
                                                                                        Forces and their effects
                                                                                        kate.siena
                                                                                        Forces and motion
                                                                                        Catarina Borges
                                                                                        Junior Cert Physics formulas
                                                                                        Sarah Egan
                                                                                        OCR Physics P4 Revision
                                                                                        Dan Allibone
                                                                                        P2 Radioactivity and Stars
                                                                                        dfreeman
                                                                                        Physics 1A - Energy
                                                                                        Zaki Rizvi