AQA GCSE Physics Unit 3 Mindmap

Description

A mind map on all of AQA GCSE Physics Unit 3 (not finished yet just need more pictures)
lauren_binney
Mind Map by lauren_binney, updated more than 1 year ago More Less
Gabi Germain
Created by Gabi Germain over 10 years ago
lauren_binney
Copied by lauren_binney over 10 years ago
430
23

Resource summary

AQA GCSE Physics Unit 3 Mindmap
  1. Medical applications
    1. X-rays
      1. High frequency and short wavelength
        1. Properties
          1. Affect photographic film in the same way as light
            1. Absorbed by metal and bone
              1. Why lead aprons are worn
                1. Absorb the rays and reduce exposure to radiation
                  1. Can cause cancer
                    1. Aswell as kill cancerous cells
                      1. At the surface
                        1. Near the surface of the body
                    2. Film badges
                      1. Show amount of exposure
                    3. Transmitted by healthy tissue
                    4. CCD
                      1. form electronic images
                        1. CT scanners
                          1. Digital cross-section
                            1. Soft tissue organs filled with contrast medium
                              1. Absorb X-rays to be seen
                        2. Ultrasound waves
                          1. Sound waves
                            1. With a frequency above 20,000Hz
                              1. Human ear
                                1. Detect sound waves between 20Hz and 20,000Hz
                              2. Produced by electronic systems
                                1. wave meets a boundary between 2 different materials
                                  1. Part of the wave is reflected
                                    1. Travels back through material to detector
                                      1. Time taken to reach the detector can calculate how far away the boundary is
                                        1. Results may be processed by a computer to produce an image
                                        2. May need to half the time as it has travelled there and back
                                    2. Non ionising
                                      1. So its safer than X-rays
                                      2. For scanning
                                        1. Unborn babies (not unicorn)
                                          1. And soft tissue
                                            1. E.g. the eye
                                              1. Not kleenex
                                            2. Therapy
                                              1. Shatter kidney stones
                                          2. Refractive index
                                            1. Refraction
                                              1. The change of direction of light from one substance to another
                                                1. Takes place because waves change speed when they cross a boundary
                                                  1. Because of the change in speed
                                                2. How much a substance can refract a light ray
                                                  1. Sin i divided by Sin r
                                                    1. Incidence
                                                      1. Refraction
                                                    2. TAGAGA
                                                      1. Air to glass refracted towards the normal
                                                        1. Glass to air away from the normal
                                                      2. The endoscope
                                                        1. Critical angle
                                                          1. angle of incidence of a light ray in a transparent substance
                                                            1. Produces refraction along the boundary
                                                            2. If angle of incidence is higher than the critical angle the light ray under goes total internal reflection
                                                              1. When it occurs the angle of reflection is equal to the angle of incidence
                                                              2. Refractive index = 1 divided by sin c (critical angle)
                                                              3. Used to look inside a patients body
                                                                1. without cutting it open (bleh)
                                                                  1. contain bundles of optical fibres
                                                                    1. Thin, flexible glass fibres
                                                                      1. Visible light sent along
                                                                        1. By total internal reflection
                                                                      2. Laser light may be used for cutting
                                                                        1. Colour is matched to tissue type
                                                                          1. To produce maximum absorption
                                                                    2. Lenses
                                                                      1. Converging (convex)
                                                                          1. Used in magnifying glasses
                                                                            1. If the object is NEARER to the lens than the principal focus, an upright virtual image is formed behind the object
                                                                              1. If the object is FURTHER away from the lens than the principal focus an inverted real image is formed
                                                                              2. Parallel light rays pass through and are refracted so they converge at a point called the principal focus
                                                                              3. Diverging (concave)
                                                                                1. If you go in a cave and there is a mean bear you will die (so a concave lens is diverging)
                                                                                  1. Light can pass through the lens in either direction there is a principal focus soon either side of the lens
                                                                                    1. Image is always virtual
                                                                                      1. Distance from the centre of the lens to the principal focus is the focal length
                                                                                        1. parallel light rays pass through and are refracted so they diverge away from a point, the principal focus
                                                                                        2. Magnification = image height divided by object height
                                                                                          1. Cameras use converging lenses to form a real image of an object on a film
                                                                                            1. Ray diagrams
                                                                                              1. Parallel to axis and through f
                                                                                                1. Through centre
                                                                                                  1. Through F then parallel to axis
                                                                                            2. The eye
                                                                                              1. Iris - coloured ring of muscle that controls the amount of light entering the eye
                                                                                                1. Cornea - Transparent layer that protects the eye and helps focus light onto the retina (like corn which is yellow like light so it focuses light)
                                                                                                  1. Retina the light sensitive cells around the inside of the eye
                                                                                                    1. Pupil - The central hole formed by the iris and where light enters the eye through the pupil
                                                                                                      1. Blind spot - region where the retina isn't sensitive to light
                                                                                                        1. No light sensitive cells are present
                                                                                                        2. Ciliary muscles - Attatched to the lens by suspensory ligaments to change the thickness of the eye lens
                                                                                                          1. Optic nerve - carries nerve impulses to the brain
                                                                                                            1. Eye lens - focuses light onto the retina
                                                                                                              1. Conjuctiva membrane (its just there!)
                                                                                                                1. Aqueous humour - transparent watery liquid that supports the front of the eye
                                                                                                                  1. Vitreous humour - transparent jelly like substance that supports the back of the eye
                                                                                                                    1. Eye muscles - move the eye in the socket
                                                                                                                      1. Power of a lens
                                                                                                                        1. = 1 divided by f (focal length)
                                                                                                                          1. Power of a lens is measured in deportees (D)
                                                                                                                            1. Focal length is measured in metres (m)
                                                                                                                            2. Human eye
                                                                                                                              1. Near point 25cm and a far point of infinity! (and beyond)
                                                                                                                                1. Range of vision
                                                                                                                                  1. Eyeball defects may cause long or short sightedness (if thats a word)
                                                                                                                                    1. Short sighted
                                                                                                                                      1. See close objects clearly
                                                                                                                                        1. distant objects are blurred
                                                                                                                                          1. uncorrected image is formed in front of the retina
                                                                                                                                        2. Eyeball being too long
                                                                                                                                          1. eye lens too powerful
                                                                                                                                            1. Corrected with a diverging lens
                                                                                                                                            2. Long sighted
                                                                                                                                              1. see distant objects clearly
                                                                                                                                                1. the uncorrected image is formed behind the retina
                                                                                                                                                2. Eye lens is too weak
                                                                                                                                                  1. Eyeball being to short
                                                                                                                                                    1. Corrected using a converging lens
                                                                                                                                          2. Making things work
                                                                                                                                            1. Hydraulics
                                                                                                                                              1. Pressure
                                                                                                                                                1. P = F divided by A
                                                                                                                                                  1. Measured in pascals, (not the chameleon from tangled) Pa
                                                                                                                                                    1. liquids are virtually incompressible
                                                                                                                                                      1. pressure in a liquid is transmitted in all directions
                                                                                                                                                        1. Made use of in hydraulic systems
                                                                                                                                                    2. Hydraulic pressure system
                                                                                                                                                      1. Force exerted depends on...
                                                                                                                                                        1. Force exerted on the system
                                                                                                                                                          1. Area of the cylinder on which the force acts
                                                                                                                                                            1. Area of the cylinder that the force is exerted on
                                                                                                                                                          2. Use of different cross sectional areas on the effort and load mean the system can be used as a force multiplier
                                                                                                                                                          3. Stability
                                                                                                                                                            1. The line of action of the weight of an object acts through its centre of mass
                                                                                                                                                              1. Line of action
                                                                                                                                                                1. lies outside the base of an object
                                                                                                                                                                  1. topple over
                                                                                                                                                                    1. resultant moment
                                                                                                                                                                    2. Inside the base
                                                                                                                                                                      1. Won't topple
                                                                                                                                                                    3. The wider the base of an object
                                                                                                                                                                      1. lower centre of mass
                                                                                                                                                                        1. Has to tilt further to topple
                                                                                                                                                                        2. Increased stability
                                                                                                                                                                        3. Bowling pins narrow base so high centre of mass
                                                                                                                                                                          1. Easily knocked over
                                                                                                                                                                        4. Centre of mass
                                                                                                                                                                          1. Where the mass of an object is though to be concentrated
                                                                                                                                                                            1. When a suspended object is in equilibrium, its centre of mass is directly beneath its point of suspension
                                                                                                                                                                              1. Finding the centre of mass
                                                                                                                                                                                1. Symmetrical sheets where the axis of symmetry cross
                                                                                                                                                                                  1. Irregular sheets
                                                                                                                                                                                    1. suspend the sheet from a pin held in a clamp stand
                                                                                                                                                                                      1. Because it is freely suspended it is able to turn
                                                                                                                                                                                        1. Hang a plumb line from the same pin
                                                                                                                                                                                          1. Mark the position of the plumb line
                                                                                                                                                                                            1. Hang the sheet with the pin at another point and repeat the procedure
                                                                                                                                                                                              1. The centre of mass is where the lines cross
                                                                                                                                                                                            2. When it comes to rest
                                                                                                                                                                                      2. The position depends on the shape of the object which sometimes may lie outside the object
                                                                                                                                                                                      3. Pendulums
                                                                                                                                                                                        1. Moves to and fro along the same line
                                                                                                                                                                                          1. Oscillating motion
                                                                                                                                                                                          2. A simple pendulum consists of..
                                                                                                                                                                                            1. A mass (bob) suspended on the end of a string
                                                                                                                                                                                              1. when bob is displaced to one side and let go the pendulum oscillates
                                                                                                                                                                                                1. Through the equilibrium position
                                                                                                                                                                                                  1. When it stops moving
                                                                                                                                                                                              2. Amplitude is the distance from the equilibrium position to the highest position on each side
                                                                                                                                                                                                1. Time period of an oscillation is the time taken for one complete cycle
                                                                                                                                                                                                  1. To measure the time period of a pendulum
                                                                                                                                                                                                    1. measure the average time fro 20 oscillations and divide the time by 20
                                                                                                                                                                                                      1. Park swing is an example
                                                                                                                                                                                                    2. depends on length, it increases as length increases
                                                                                                                                                                                                      1. Time period = 1 divided by f (frequency (number of complete oscillations in one second))
                                                                                                                                                                                                    3. Circular motion
                                                                                                                                                                                                      1. Centripetal force increases when..
                                                                                                                                                                                                        1. Mass increases
                                                                                                                                                                                                          1. Radius decreases
                                                                                                                                                                                                            1. Speed of the object increases
                                                                                                                                                                                                            2. If centripetal force stops the object will continue to move in a straight line at a tangent to the circle
                                                                                                                                                                                                              1. An object only accelerates when a resultant force acts on it
                                                                                                                                                                                                                1. This force is called centripetal force and always acts towards the centre of a circle
                                                                                                                                                                                                                2. Continuously changing direction
                                                                                                                                                                                                                  1. Continuously changing velocity
                                                                                                                                                                                                                    1. This acceleration is called centripetal force
                                                                                                                                                                                                                3. Moments
                                                                                                                                                                                                                  1. Balance
                                                                                                                                                                                                                    1. If an object is in equilibrium the anticlockwise moment will be equal to its clockwise moment
                                                                                                                                                                                                                      1. This is the principal of moments
                                                                                                                                                                                                                      2. We use the principal of moments to calculate the force needed to stop an object turning
                                                                                                                                                                                                                      3. The turning effect of a force
                                                                                                                                                                                                                        1. M = F x d
                                                                                                                                                                                                                          1. d = perpendicular distance from the line of action of the force to the pivot in metres
                                                                                                                                                                                                                          2. To increase the moment of a force...
                                                                                                                                                                                                                            1. Increase the force
                                                                                                                                                                                                                              1. Increase the distance from the pivot
                                                                                                                                                                                                                                1. for example using a spanner
                                                                                                                                                                                                                                  1. Using a lever
                                                                                                                                                                                                                                    1. Force we are trying to move is called the load
                                                                                                                                                                                                                                      1. The force applied to the lever is called the effort
                                                                                                                                                                                                                                  2. Opening a door
                                                                                                                                                                                                                                    1. Using a crowbar
                                                                                                                                                                                                                                  3. Keeping things moving
                                                                                                                                                                                                                                    1. Transformers
                                                                                                                                                                                                                                      1. Two coils
                                                                                                                                                                                                                                        1. Around wrapped around a laminated iron core
                                                                                                                                                                                                                                          1. When an alternating current passes through the primary coil, it produces an alternating magnetic field in the core
                                                                                                                                                                                                                                            1. This field continually expands and collapses
                                                                                                                                                                                                                                            2. Easily magnetised
                                                                                                                                                                                                                                          2. The alternating magnetic field passes through the secondary coil and induces an alternating potential difference along its ends
                                                                                                                                                                                                                                            1. If the secondary coil is part of a complete circuit an alternating current is produced
                                                                                                                                                                                                                                            2. coils of wire are insulated
                                                                                                                                                                                                                                              1. doesn't short circuit on any adjacent turns of wire or the iron core
                                                                                                                                                                                                                                              2. Switch mode transformer
                                                                                                                                                                                                                                                1. Has a ferrite core (not ferret thats a cute fluffy animal)
                                                                                                                                                                                                                                                  1. Lighter and smaller
                                                                                                                                                                                                                                                  2. Operates at a higher frequency than a normal transformer
                                                                                                                                                                                                                                                    1. uses very little power when there is mo device connected across its output terminals
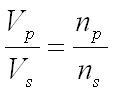
                                                                                                                                                                                                                                                  3. Step up or down
                                                                                                                                                                                                                                                    1. If pd across the secondary coil is higher than across the primary coil it is step up and the opposite for step down
                                                                                                                                                                                                                                                      1. Number of turns
                                                                                                                                                                                                                                                      2. Like a snowy mountain
                                                                                                                                                                                                                                                    2. The motor effect
                                                                                                                                                                                                                                                      1. when we place a wire carrying an electric current in a magnetic field it may experience a force
                                                                                                                                                                                                                                                        1. Maximum force if the wire is at 90 degrees to the magnetic field
                                                                                                                                                                                                                                                          1. Zero if parallel to the magnetic field
                                                                                                                                                                                                                                                          2. Flemings left hand rule
                                                                                                                                                                                                                                                            1. First finger is the direction of the magnetic field (north to south)
                                                                                                                                                                                                                                                              1. Second finger is the direction of the current
                                                                                                                                                                                                                                                                1. The thumb shows the motion the wire
                                                                                                                                                                                                                                                                2. Increase the force
                                                                                                                                                                                                                                                                  1. Increase the current
                                                                                                                                                                                                                                                                    1. Increase the strength of the magnetic field
                                                                                                                                                                                                                                                                    2. To change the motion of the wire
                                                                                                                                                                                                                                                                      1. reverse the direction of the magnetic field
                                                                                                                                                                                                                                                                        1. reverse the direction of the current
                                                                                                                                                                                                                                                                        2. electric motor
                                                                                                                                                                                                                                                                          1. speed of the motor is increased by increasing the size of the current
                                                                                                                                                                                                                                                                            1. direction reversed by changing current direction
                                                                                                                                                                                                                                                                            2. coil spins when current goes through
                                                                                                                                                                                                                                                                              1. force acts on each side due to the motor effect
                                                                                                                                                                                                                                                                            3. Split ring commutator
                                                                                                                                                                                                                                                                              1. Reverses coil current every half turn
                                                                                                                                                                                                                                                                                1. Sides swap over each half turn the coil is always pushed in the same direction
                                                                                                                                                                                                                                                                              2. Transformers in action
                                                                                                                                                                                                                                                                                1. the national grid uses transformers to step-up the pd from power stations
                                                                                                                                                                                                                                                                                  1. The higher the pd at which electrical energy is transmitted across the grid the smaller the energy wasted in the cables
                                                                                                                                                                                                                                                                                  2. Step down transformers are used to reduce the pd so that it is safe to be used by consumers
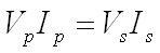
                                                                                                                                                                                                                                                                                    1. Transformers are almost 100% efficient
                                                                                                                                                                                                                                                                                      1. 1
                                                                                                                                                                                                                                                                                        1. 2
                                                                                                                                                                                                                                                                                        2. There are two equations for transformers
                                                                                                                                                                                                                                                                                        3. Electromagnetic induction
                                                                                                                                                                                                                                                                                          1. If an electrical conductor cuts through magnetic field lines a potential difference is induced across the ends of the conductor
                                                                                                                                                                                                                                                                                            1. Increase the size of the induced pd...
                                                                                                                                                                                                                                                                                              1. Increase the speed of movement
                                                                                                                                                                                                                                                                                                1. Increase the strength of the magnetic field
                                                                                                                                                                                                                                                                                                  1. Increasing the number of turns on the coil
                                                                                                                                                                                                                                                                                                    1. so many turns!!
                                                                                                                                                                                                                                                                                                  2. Reversing the direction of the movement or the magnetic field the direction of the pd is also reversed
                                                                                                                                                                                                                                                                                                    1. pd is potential difference by the way
                                                                                                                                                                                                                                                                                                    2. If a magnet is moved into a coil of wire a pd is induced across the ends of the coil, this process is called electromagnetic induction
                                                                                                                                                                                                                                                                                                    3. Electromagnets
                                                                                                                                                                                                                                                                                                      1. Magnets
                                                                                                                                                                                                                                                                                                        1. Ends called magnetic poles
                                                                                                                                                                                                                                                                                                          1. Region around the magnet in which pieces of iron will be attracted is called its magnetic field
                                                                                                                                                                                                                                                                                                            1. Iron filings placed near a magnet will produce a pattern of lines that loop from one pole to the other, these are lines of force or magnetic lines
                                                                                                                                                                                                                                                                                                              1. A plotting compass placed in the magnetic field will always point along the field line
                                                                                                                                                                                                                                                                                                              2. Like poles will repel
                                                                                                                                                                                                                                                                                                                1. Unlike poles will attract
                                                                                                                                                                                                                                                                                                                2. When a current flows through a wire a magnetic field is produced around the wire
                                                                                                                                                                                                                                                                                                                  1. Made by wrapping an insulated wire around a piece of iron, iron core
                                                                                                                                                                                                                                                                                                                    1. When a current flows through the wire it becomes strongly magnetised
                                                                                                                                                                                                                                                                                                                      1. This temporary magnetism makes electromagnets very useful
                                                                                                                                                                                                                                                                                                                        1. If current is off it loses its magnetism
                                                                                                                                                                                                                                                                                                              Show full summary Hide full summary

                                                                                                                                                                                                                                                                                                              Similar

                                                                                                                                                                                                                                                                                                              GCSE AQA Physics - Unit 3
                                                                                                                                                                                                                                                                                                              James Jolliffe
                                                                                                                                                                                                                                                                                                              GCSE AQA Physics 1 Energy & Efficiency
                                                                                                                                                                                                                                                                                                              Lilac Potato
                                                                                                                                                                                                                                                                                                              Geography Coastal Zones Flashcards
                                                                                                                                                                                                                                                                                                              Zakiya Tabassum
                                                                                                                                                                                                                                                                                                              Forces and their effects
                                                                                                                                                                                                                                                                                                              kate.siena
                                                                                                                                                                                                                                                                                                              Germany 1918-39
                                                                                                                                                                                                                                                                                                              Cam Burke
                                                                                                                                                                                                                                                                                                              P2 Radioactivity and Stars
                                                                                                                                                                                                                                                                                                              dfreeman
                                                                                                                                                                                                                                                                                                              P2a revision (part 1)
                                                                                                                                                                                                                                                                                                              juliasutton
                                                                                                                                                                                                                                                                                                              OCR Physics P2 revision cards
                                                                                                                                                                                                                                                                                                              Alex Howard
                                                                                                                                                                                                                                                                                                              Favela Bairro Project- Squatter Settlement case study Changing urban environments
                                                                                                                                                                                                                                                                                                              a a
                                                                                                                                                                                                                                                                                                              P2 Quiz
                                                                                                                                                                                                                                                                                                              Leah Firmstone
                                                                                                                                                                                                                                                                                                              Economic migrates in the EU (Poland to UK migration)
                                                                                                                                                                                                                                                                                                              a a