Integration Technique

Description

Mind Map on Integration Technique, created by jevetha97 on 28/01/2016.
jevetha97
Mind Map by jevetha97, updated more than 1 year ago
jevetha97
Created by jevetha97 almost 10 years ago
12
2

Resource summary

Integration Technique
  1. 1. Simplification
    1. 2. Basic substitution method
      1. 3. Completing the square
        1. quadratic func can't factorise
          1. 2v+1c
            1. 2v
        2. 4. Trigo identities
          1. 5. Improper fraction
            1. degree nume ≥ degree deno
              1. long division
              2. 6. Separating fractions
                1. fractions separated
                  1. simpler integrand
                2. 7. Multiply by form of 1
                  1. conjugation
                  2. 8. Eliminate square root
                    1. trigo in square root
                      1. trigo func simplified to squared trigo
                    2. 9. integration by parts
                      1. ILATE
                        1. ∫u dv
                        2. Tabular integration
                          1. ∫u dv
                            1. differentiate u until =0
                          2. Special Tabular integration
                            1. ∫u dv
                              1. differentiate u until get initial func
                          3. 10. ∫ of Rational func by partial fractions
                            1. a. non- repeated linear factors
                              1. heaviside cover up
                                1. b. repeated linear factors
                                  1. c. irreducible quadratic factors
                                    1. d. improper fraction
                                      1. e. transcedental func
                                      2. 11. Trigonometric Integrals
                                          1. products of sines and cosines
                                              1. Method is to subs t=tan x
                                            1. 12. Trigo substitution
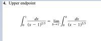
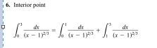
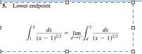
                                              1. 13. Improper Integral
                                                1. type 1
                                                  1. type 2
                                                      Show full summary Hide full summary

                                                      Similar