null
US
Sign In
Sign Up for Free
Sign Up
We have detected that Javascript is not enabled in your browser. The dynamic nature of our site means that Javascript must be enabled to function properly. Please read our
terms and conditions
for more information.
Next up
Copy and Edit
You need to log in to complete this action!
Register for Free
4393270
Integration strategy
Description
Mind Map on Integration strategy, created by Alia Kamaruddin on 29/01/2016.
Mind Map by
Alia Kamaruddin
, updated more than 1 year ago
More
Less
Created by
Alia Kamaruddin
almost 10 years ago
20
0
0
Resource summary
Integration strategy
STEP ONE
IF IT'S POSSIBLE, SIMPLIFY THE INTEGRAND
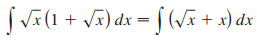
algebraic manipulation
TRIGONOMETRIC IDENTITIES
STEP TWO
SEARCH FOR AN OBVIOUS SITUATION
By using substituition
STEP THREE
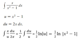
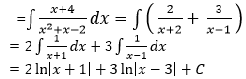
is the integrand a rational expression integrand a polynomial divided by a polynomial?
USE PARTIAL FRACTION!
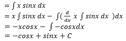
is the integrand a polynomial times a trigonometric function exponential or logarithm
USE INTEGRATION BY PARTS!
is the integrand a product of sin and cos, sec and tan or cot and csc?
USE INTEGRATION IDENTITIES!
Media attachments
065d4a7d-5321-4861-8f08-8cc65f9586ae (image/png)
d2aa4756-90ea-4bfb-aa76-3370d95af4df (image/png)
7e90d1b1-fd92-4119-b723-2a7a9807a7aa (image/png)
c7aa416c-64a0-4e61-aa79-74753f505c8a (image/png)
1b53ba63-06e3-4e92-b0e8-7344a9d4cb84 (image/png)
988fa6f6-15f4-4a0e-8f37-0d08c4a393e3 (image/png)
Show full summary
Hide full summary
Want to create your own
Mind Maps
for
free
with GoConqr?
Learn more
.
Similar
Browse Library