ORGANIC MOLECULES

Description

Mind Map on ORGANIC MOLECULES, created by Rebecca Holter on 11/02/2016.
Rebecca Holter
Mind Map by Rebecca Holter, updated more than 1 year ago
Rebecca Holter
Created by Rebecca Holter about 10 years ago
18
0

Resource summary

ORGANIC MOLECULES
  1. LIPIDS
    1. fats, oils and waxes
      1. carbon, hydrogen and oxygen
        1. carry more energy than either carbohydrates and proteins
          1. fats
            1. made up of two molecules
              1. fatty acids
                1. glycerol
                2. trigycerides
                  1. common for of fats
                    1. have a single glycerol molecule and three fatty acid molecules are attached
                    2. have little to no affinity for water
                      1. have little to no attraction to water
                        1. insoluble in water
                          1. phospholipids
                            1. have two fatty acids attached to a glycerol moleclue
                        2. CARBOHYDRATES
                          1. Simple
                            1. monosaccharides
                              1. a single sugar unit
                                1. glucose
                                  1. a poduct of photosynthesis
                                    1. carbondioxide + water -light- sugar + oxugen
                                  2. fruit sugar
                                    1. galactose
                                      1. mannose
                                        1. fructose
                                          1. derived from glucose; combines with glucose to form sucrose
                                      2. disaccharides
                                        1. formed when two monosaccharides combine
                                          1. eg. fructose and glucose = surcose
                                          2. sucrose
                                            1. form in which carbohydrate is transported through plants
                                              1. made from the combination of fructose and glucose
                                              2. lactose
                                                1. maltose
                                                2. soluble in water
                                                3. Complex
                                                  1. polysaccarides
                                                    1. contain many sugar units
                                                      1. insouluble in water
                                                        1. glycogen
                                                          1. is the form of energy storage in animals
                                                            1. converted to glycogen by the liver from glucose for storage
                                                              1. liver can store about 100g
                                                              2. muscle tissue can store up to 300g
                                                                1. if storage capacity of the liver and musclue tissue is reached then it is converted into fat storage
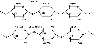
                                                                2. starch
                                                                  1. glucose is distributed around a plant in the form sucrose
                                                                    1. starch is the cheif form of storage for most plants
                                                                      1. can occur in many different sites
                                                                        1. potatos and ginger store in modified stems
                                                                          1. sweet potato stores in modified roots
                                                                            1. onions store in modified leaves
                                                                              1. seeds store in their endosperm and provide for the young plant until it becomes established
                                                                            2. starch is stored in the form of small grains
                                                                              1. can easily be converted back to sugar and transported to where the plant needs it most
                                                                              2. cellulose
                                                                                1. every plant cell wall contains cellulose, making it the most abundant of all the biological molecules
                                                                          2. NUCLEIC ACIDS
                                                                            1. deoxyribonucleic acid (DNA)
                                                                              1. consists of a deoxyibose sugar part, aphosphate part and an N-chaining base
                                                                                1. consists of two chain nucleotides that are complementary to each other and held together by hydrogen bonds
                                                                                  1. consists of G (guanine) C (cytosine) A (adenine) T (thymine)
                                                                                    1. pairs G+C C+G A+T T+A
                                                                                      1. chains of nucleotide create a double hellical molecule
                                                                                        1. the DNA double-helix combines with certain proteins to form a chromosome
                                                                                          1. chromosomes reside in the nucleus of a cell, and the DNA they contain carries genetic instructions that control all functions of the cell
                                                                                          2. the DNA of a cell controls what occurs in a cell through the polypeptide chains that the DNA causes to be produced
                                                                                            1. the sequence of nitrogen bases along one of the chains of nucleotides in a DNA molecule carries a set of information
                                                                                            2. ribonucleic acid (RNA)
                                                                                              1. polymer of nucleotides
                                                                                                1. unpaired chain of nucleotide bases
                                                                                                  1. consists of G (guanine) C (cytosine) A (adenine) U(uracil)
                                                                                                    1. consists of a ribose sugar part, a phosphate part and an N-chaining base
                                                                                                      1. messenger RNA
                                                                                                        1. carries genetic message to ribosomes where the message is translated into a particulart protein
                                                                                                        2. ribsomal RNA
                                                                                                          1. together with proteins, makes the ribosomes found in cytosol
                                                                                                          2. transfer RNA
                                                                                                            1. molecules that carry amino acids to ribosomes where they are used to construct proteins
                                                                                                        3. PROTEINS
                                                                                                          1. 18% of a living cell is protein
                                                                                                            1. monomers are amino acids
                                                                                                              1. all proteins contain of nitrogen, hydrogen, carbon, oxygen, sulfur and phosphorus
                                                                                                                1. amino acids
                                                                                                                  1. 20 naturally occurring amino acids, only nine cannot be produced by the body
                                                                                                                    1. 9 that cannot be made by the body threonine, isoleucine, methionine, histidine, lysine, phenylanine, valine, trytophan, leucine
                                                                                                                      1. alanine, arginine, asparagine, aspartic acid, cysteine, glutamic acid, glutamine, glycine, proline, serine, trysine
                                                                                                                      2. when two amino acids join together as a dipeide when a peptide bond forms between the amino group of one amino acid and the carboyl group of another amino acid and a water molecule is released
                                                                                                                        1. when a number of amino acids join in this way, a polypeptide is formed
                                                                                                                      3. structures
                                                                                                                        1. primary structure is the specific linear sequence of amino acids in the protein
                                                                                                                          1. secondary structure is when amino acids are folded in three ways.
                                                                                                                            1. the major protein of wool is alpha-keratin, a spiral molecule.
                                                                                                                              1. the major protein of silk is fibroin, which is fully extended ad lacks the coiling found in the structure of wool. silk molecules form a beta-pleated sheet.
                                                                                                                                1. the structure of any major protein is called random coiling if it doesn't fit into alpha or beta coiling.
                                                                                                                                2. tertiary structure refers to the total irregular folding held together by ionic or hydrogen bonds forming complex shape such as that of myoglobin
                                                                                                                                  1. quaternary structure describes a structure in which two or more polypeptide chains interact to form a protein.
                                                                                                                                    1. resulting structure eg. globular as in heamoglobin or fibrous as in collagen, the most common of animal proteins
                                                                                                                                  2. types of proteins
                                                                                                                                    1. structural
                                                                                                                                      1. fibrous support tissue in skin. bones, tendons, cartilage, blood vessels, heart valves and cornea of the eye eg, collagen, keratin
                                                                                                                                      2. enzyme
                                                                                                                                        1. catalyse reactions eg. ATP synthase
                                                                                                                                        2. contractile
                                                                                                                                          1. muscle movement eg. myosin, actin
                                                                                                                                          2. immunoglobulin
                                                                                                                                            1. defence against disease eg. antibodies
                                                                                                                                            2. hormone
                                                                                                                                              1. regulate bodyactivity eg. insulin
                                                                                                                                              2. receptor
                                                                                                                                                1. respond to stimuli eg. insulin receptors
                                                                                                                                                2. transport
                                                                                                                                                  1. carry other molecules eg. haemoglobin
                                                                                                                                              Show full summary Hide full summary

                                                                                                                                              Similar

                                                                                                                                              Carbohydrates
                                                                                                                                              kevinlinkovoor
                                                                                                                                              DNA (labeling) for biochem and cell biology (lecture 2)
                                                                                                                                              MrSujg
                                                                                                                                              Polysaccharides
                                                                                                                                              Jessica Phillips
                                                                                                                                              Biology- Genes, Chromosomes and DNA
                                                                                                                                              Laura Perry
                                                                                                                                              Function and Structure of DNA
                                                                                                                                              Elena Cade
                                                                                                                                              Biological Definitions
                                                                                                                                              Yamminnnn
                                                                                                                                              AQA AS Biology Unit 2 DNA and Meiosis
                                                                                                                                              elliedee
                                                                                                                                              Carbohydrates
                                                                                                                                              Julia Romanów
                                                                                                                                              Cell Structure
                                                                                                                                              megan.radcliffe16
                                                                                                                                              CARBOHYDRATES & SUGARS
                                                                                                                                              Eleanor H
                                                                                                                                              Biology AQA 3.1.3 Cells
                                                                                                                                              evie.daines