Boolean Algebra & Logic Gates

Description

Mind Map on Boolean Algebra & Logic Gates, created by Ghifaroza Rahmadiana on 23/09/2016.
Ghifaroza Rahmadiana
Mind Map by Ghifaroza Rahmadiana, updated more than 1 year ago
Ghifaroza Rahmadiana
Created by Ghifaroza Rahmadiana about 9 years ago
147
2

Resource summary

Boolean Algebra & Logic Gates
  1. Boolean Algebra
    1. Theorems
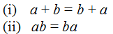
      1. Commutative Law
        1. Associative Law
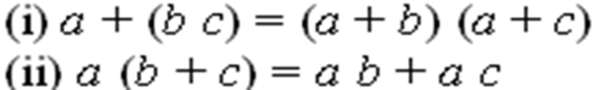
          1. Distributive Law
            1. Identity
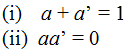
              1. Negation
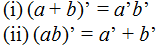
                1. De Morgan
                  1. Elementer
                    1. Absorption
                    2. Characteristics
                      1. NOT
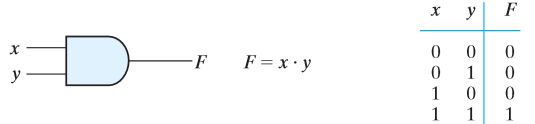
                        1. AND
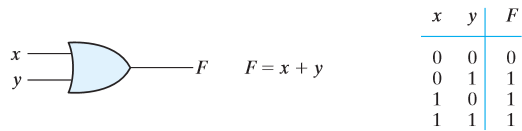
                          1. OR
                        2. Logic Gates
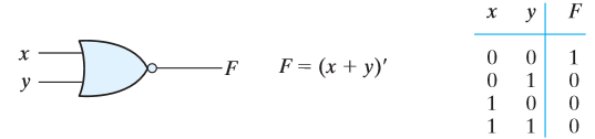
                          1. OR
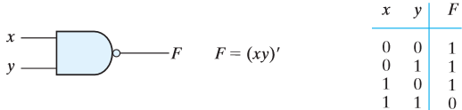
                            1. NAND
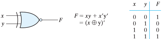
                              1. NOR
                                1. XOR
                                  1. AND
                                    1. XNOR
                                      1. NOT
                                        1. Buffer
                                        2. Canonical and Stadard Forms
                                          1. Minterms
                                            1. Maxterms
                                            2. Integrated Circuits
                                              1. Digital Logic Families
                                                1. MOS
                                                  1. CMOS
                                                    1. TTL
                                                      1. ECL
                                                      2. Levels of Integration
                                                        1. Medium
                                                          1. Large
                                                            1. Very Large
                                                              1. Small
                                                            Show full summary Hide full summary

                                                            Similar

                                                            Untitled
                                                            sarah18
                                                            Untitled
                                                            sarah18
                                                            Untitled_1
                                                            sarah18