A Level Biological Molecules

Description

A mind map summarising the topic biological molecules. !(•̀ᴗ•́)و ̑̑
Camille Bailey
Mind Map by Camille Bailey, updated more than 1 year ago
Camille Bailey
Created by Camille Bailey about 9 years ago
2585
4

Resource summary

A Level Biological Molecules
  1. Carbohydrates
    1. All Carbohydrates contain the elements Carbon, Hydrogen and Oxygen, in the ratio of 2CH's to 1O.
      1. Monosaccharides are glucose, galactose and fructose [galactose and fructose are isomers of glucose] they are single sugars.
        1. Isomer: Same molecular formula but different structure. For example, for monosaccharides the formula is C₆H₁₂O₆ and the structures can be shown in the diagram to the left
          1. They are hexose sugar as they contain 6 carbons.
            1. Alpha Glucose Structure
              1. OH is a hydroxyl group.
              2. Disaccharides are maltose [glucose+glucose], lactose [glucose and galactose] and sucrose [glucose and fructose]. They are double sugars and joined together by a condensation reaction [loss of water] and a glycosidic bond is formed.
                1. The H₂O is removed and a glycosidic bond is formed. [In chemistry this is called an ether bond]
                  1. EXAMPLE: Glucose [C₆H₁₂O₆] + Fructose [C₆H₁₂O₆] = Sucrose [C₁₂H₂₂O₁₁]
                  2. Beta Glucose Structure
                    1. Polysaccharides are starch [alpha glucose], glycogen [alpha glucose] and cellulose [beta glucose]. They are very long chained molecules and are insoluble, therefore they do not affect the water potential of a cell.
                      1. Starch is large and insoluble, helical in shape so it is compact and stores energy.
                        1. Glycogen is large and insoluble, helical and branched in shape so it is compact and stores energy.
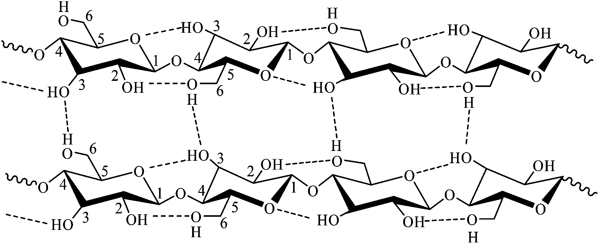
                          1. Cellulose is made from Beta glucose [a flip in the hydroxyl group], they are form long straight chains called microfibrils. They are linked by hydrogen bonds which in mass are very strong [cross links] therefore they help provide structural support.
                        2. Test for Carbohydrates
                          1. Non-Reducing Sugar: Use Benedict's Solution, heat the mixture in a water bath and add HCL and a black-blue colour will be present.
                            1. Reducing Sugar: Use Benedict's Solution, heat the mixture in a water bath and a red-brown colour will be present.
                          2. Proteins
                            1. What makes each individual amino acid different is the R Group.
                              1. Amino Group
                                1. Carboxylic Acid
                                  1. Variable Group [R]
                                  2. Amino Acids are joined together by a condensation reaction.
                                    1. Proteins have 4 structural levels:
                                      1. Primary Structure is the sequence of amino acids which determines how it folds. It contains peptide bonds between amino acids. It looks like a chain essentially.
                                        1. Secondary Structure is the basic level of folding held together by hydrogen bonds, a Beta (β) pleated sheet or an alpha (α) helix is formed.
                                          1. Tertiary Structure is the overall globular structure formed from the polypeptide they contain hydrogen and disulphide bonds. E.g. Enzymes
                                            1. Quarternary structure is more than one tertiary structure attached together. They are also insoluble and have structural or storage roles. E.g. Collagen, Insulin, and Haemoglobin
                                      2. Proteins have a variety of functions, including enzymes, antibodies, transport proteins and structural proteins.
                                        1. You conduct a Biuret Test for proteins. Add a few drops of biuret reagent to the solution, if peptide bonds [protein] the solution will turn purple or lilac.
                                        2. Lipids
                                          1. Triglycerides have one molecule of glycerol and three fatty acids [made from hydrocarbons].
                                            1. Triglycerides are formed by condensation reactions when fatty acids bond with a glycerol molecule water [H₂O] is produced and an ester bond.
                                              1. They are mainly used as energy storage molecules and are insoluble so they don't affect water potential.
                                              2. Fatty acids can be unsaturated and saturated.
                                                1. Unsaturated have at least one double bond between carbon atoms which causes the chain to kink. They are liquid at room temperature.
                                                  1. Saturated have no double bonds between carbon atoms, they are saturated with hydrogen atoms. They form straight lines and are solid at room temperature.
                                                2. Phospholipids have a phosphate head, a glycerol molecule and two fatty acids.
                                                  1. The phosphate group is hydrophillic and the fatty acid 'tails' are hydrophobic, they make up the phospholipid bi-layer.
                                                    1. The centre is hydrophobic so water-soluble substances can't easily pass through it.
                                                  2. The emulsion test is used for lipids, grind or crush the substance, adding ethanol to the solution and shaking then adding distilled water and a cloudy white precipitate should be formed.
                                                  3. Introduction
                                                    1. Monomer - small unit from which larger molecules are made E.g. Monosaccharides, amino acids and nucleotides.
                                                      1. Polymer - are molecules made from a large number of monomers joined together.
                                                      Show full summary Hide full summary

                                                      Similar

                                                      Carbohydrates
                                                      Julia Romanów
                                                      AQA AS Biology Unit 2 DNA and Meiosis
                                                      elliedee
                                                      AQA AS Biology Unit 2 The Cell cycle
                                                      elliedee
                                                      AQA AS Biology Unit 2 The Variety of Life
                                                      elliedee
                                                      Function and Structure of DNA
                                                      Elena Cade
                                                      AQA Biology 12.1 cellular organisation
                                                      Charlotte Hewson
                                                      AS Biology Unit 1
                                                      lilli.atkin
                                                      Biological Definitions
                                                      Yamminnnn
                                                      AQA Biology 11.2 mitosis
                                                      Charlotte Hewson
                                                      Lung Structure
                                                      Elena Cade
                                                      AQA Biology 11.1 replication of DNA
                                                      Charlotte Hewson