Chemistry Unit 2- Alkenes and Haloalkanes

Description

Mind Map on Chemistry Unit 2- Alkenes and Haloalkanes, created by bilkis-21 on 05/27/2014.
bilkis-21
Mind Map by bilkis-21, updated more than 1 year ago
bilkis-21
Created by bilkis-21 over 11 years ago
143
1

Resource summary

Chemistry Unit 2- Alkenes and Haloalkanes
  1. Alkenes
    1. These are hydrocarbons that have one or more carbon-carbon double bond
      1. As you can see, the atoms around each carbon form the trigonal planar shape and there is a bond agngle of 120
        1. Their double bond means there is restricted rotation around each carbon bond. In alkanes, the atoms have free rotatiomn around each carbon atom because they have a single bond
          1. E/Z isomerism is where atoms have the same molecular formula but a different 3-D spacial arrangement around each atom
            1. It is also called geometrical isomerism
              1. It can only occur if there are 2 different groups attatched to each carbon
                1. When trying to work out if a molecule shows E/Z isomerism, you work out where the two heaviest molecules are placed.
                  1. If they're on the Zame Zide, then they show Z isomerism
                    1. If they're on opposite sides, i.e. entgegen, then they show E isomerism
                      1. Example, But-2-ene. The cis but-2-ene shows Z isomerism as the two heaviest molecules are on the same side
                        1. The trans but-2-ene shows E isomerism as the two heaviest molecules are on different sides
                  2. They don't show position, chain or functional group isomerism
                    1. This is caused by the restricted rotation arround each carbon
                    2. Reactivity/reactions
                      1. Alkenes are more reactive than alkanes. Why?
                        1. Alkanes are unsaturated, meaning not all bonds are filled, they can be broken and more can be added to it
                          1. They have a double bond, meaning there are 4 electrons within that region, which will pull the 2 carbon atoms closer together and make the bond shorter.
                            1. This then means that there is more negativity within a smaller space.
                              1. The double bond is said to be a region of high electron density, and this is what makes alkenes more reactive than alkanes.
                        2. Electrophilic addition:
                          1. An addition reaction is making 2 smaller molecules into 1 bigger molecule
                            1. An electrophile is a species that is able to ACCEPT a pair of electrons from an electron rich species
                              1. An alkene is able to do electrophilic addition with 3 things
                                1. H-X
                                  1. 1. The electrons in the double bond is given to the hydrogen on the H-BR molecule
                                    1. The hydrogen now has 4 electrons, thats too many, so the Br will take its original electron and also hydrogen's electron to become Br- ion
                                      1. The hydrogen is now bonded to one of the carbons and the other carbon, has had one of its electrons take away from it. It now has a positive charge and is now called a carbocation
                                        1. So the Br- will now become attracted to the carbocation
                                          1. A haloalkane will have formed
                                    2. There are two types of products that can be formed: A major yield and a minor yeild
                                      1. You can determine which product will be your major yeild and which will be your minor yeild by looking at the carbocation
                                        1. The carbocation that is attatched to the most carbon atoms is going to be the major yield
                                          1. Primary
                                            1. Attatched to only one other carbon atom
                                            2. Secondary
                                              1. Attatched to 2 other carbon atoms
                                              2. Tertiary
                                                1. Attatched to 3 other carbon atoms
                                                2. You can't have a quaternary carbocation because the carbon can only bond to 4 things: 3 other carbon, and the positive charge.
                                                  1. Out of all carbocation, a tertiary carbocation is the major product because its the most stable
                                                3. This s only if you have an alkene that is not symmetrical
                                                  1. If you have a symmetrical alkene, then you'll get the same product
                                              3. X2
                                                1. When you react an alkene with a halogen, then you get a di-substituted haloalkane
                                                  1. You dont get 2 products because the product formed is symmetrical. The X2 doesnt have a permanent dipole however it does have a temporary induced dipole
                                                    1. This is because their electronegativties are the same
                                                      1. This usually only works with I2 and Br2 because they're big enough to have lasting dipoles
                                                  2. H2SO4
                                                    1. When you react the alkene with the sulphuric acid, then you'll get an alkyl hydrogen sulphate.
                                                      1. The mechanism is the same: 1. The double bond breaks and a pair of electrons are shared with the hydrogen. Then the Hydrogen will give its orginial electron to the O and it will become negatively charged. This will then react, and bond with the carbocation.
                                                        1. The alkyl refers to the side group that is attatched to the hydrogen sulphate.
                                                          1. Again, you can get a major product and a minor product from this. This will depend on whether the carbocation is primary, seconday or tertiary.
                                                            1. Alkyl hydrogen sulphates can be converted into alcohols, by a hydrolysis reaction, i.e. the addition of water
                                                              1. Notice how you get sulphuric acid at the end aswell; it acts as a catalyst
                                                                1. This type of reaction is called a hydration reaction
                                                    2. Addition polymerisation: This is where alkenes join together in the presence of high pressure and a catalyst
                                                      1. The product will be a very long hydrocarbon chain.
                                                        1. You can show any polymerisation reaction by opening up the double bond and putting a bracket around it.
                                                          1. These polyalkenes are saturated, and are very unreactive
                                                            1. Polyethene: Plastic bags. Polypropene: straw, biros, food containers.
                                                    3. Haloalkanes
                                                      1. Properties:
                                                        1. Boiling points
                                                          1. A very low, usually gaseous at room temperature. The reason for this is because there are weak intermolecular forces between them i.e. van der Waal's
                                                            1. As you go down the homologous series, the boiling points get higher because there are more van der Waal's
                                                              1. So more energy is required to break these intermolecular forces.
                                                          2. Solubility:
                                                            1. Haloalkanes are non polar, and so they aren't soluble in water and therefore are soluble in hydrocarbon because it is also non polar
                                                            2. Bond Strength
                                                              1. Decreases as you go down the group 7
                                                                1. The reason for this is because they get less electronegative as you go down the group
                                                                  1. This is because shielding increases as well as distance. There is weaker nuclear attraction and so the bond between the group 7 atom and carbon is not as stong and gets easier to break as you go down.
                                                            3. Reactivity/Reactions
                                                              1. There is a difference in electronegativity between the halogen and the carbon. This will create dipoles
                                                                1. They go through Nucleophilic subsitution
                                                                  1. Substitution is replacing one atom with another
                                                                    1. A nucleophile is a species that is able to donate a pair of electrons to an electron deficient species
                                                                      1. Hydroxide/OH- ion
                                                                        1. Produces an alcohol
                                                                          1. Also alcoholic Aqeuous
                                                                          2. Cyanide/CN- ion
                                                                            1. Produces a nitrile
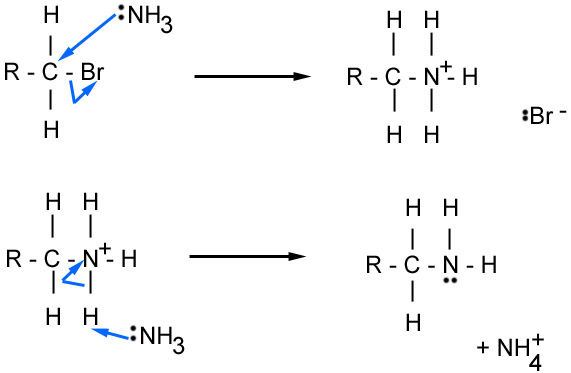
                                                                            2. A molecule of ammonia
                                                                              1. Produces an amine
                                                                                1. Alcholic solvent
                                                                            3. Mechanism:
                                                                              1. The OH- will 'attack' the carbon as it is a delta+ species.
                                                                                1. The carbon now has too many electrons so the Br atoms takes its original electrons and one of the carbon's.
                                                                                  1. The carbon now has too many electrons so the Br atoms takes its original electrons and one of the carbon's.
                                                                                    1. Equation: C2H5Br + NaOH ------> C2H5OH + NaBr
                                                                                2. The CN- will 'attack' the carbon as it is a delta+ species
                                                                                  1. The carbon now has too many electrons so the Br atoms takes its original electrons and one of the carbon's.
                                                                                    1. It becomes a Br- ion and reacts with the Na+ or K+ that's just sitting there in the solution
                                                                                    2. We don't use HCN because its a poisonous gas
                                                                                      1. Notice how the lone pair on the CN- is on the carbon
                                                                                        1. Equation: C2H5Br + KCN -----> C2H5CN + KBr
                                                                                          1. C2H5CN: Propanitrile
                                                                                      2. The lone pair on the nitrogen of the ammonia molecule will 'attack' the carbon as it's a delta+ species
                                                                                        1. The carbon now has too many electrons so the Br atoms takes its original electrons and one of the carbon's.
                                                                                          1. It forms a Br- ions
                                                                                            1. There is a positive charge on the carbon because the nitrogen is bonded to 4 things
                                                                                              1. In order to make it stable, we need to 'deprotonate' it. In other words, you take of a proton or H+ ions because it's the same thing
                                                                                                1. To do this, you need another ammonia molecule which will dative covalently bond with the H+ ions to form ammonium (NH4+)
                                                                                                  1. This will then bond with the Br- ions that was formed before
                                                                                                    1. Equation: C2H5Br + 2NH3 -------> C2H5NH2 + NH4Br
                                                                                                      1. C3H5NH2-- Ethylamine
                                                                                            2. Conditions with ammonia:
                                                                                              1. Sealed container as NH3 is gaseous
                                                                                                1. High pressure: Higher rate of reaction
                                                                                                  1. Alcoholic solution for the haloalkane
                                                                                            3. Conditions for OH- to react:
                                                                                              1. 1. NaOH or the reagent has to be in a polar solvent e.g. water
                                                                                                1. 2. The haloalkane needs to be in a non-polar solvent e.g. alcohol
                                                                                                  1. Therefore, an alcoholic aqueous solution is required
                                                                                                    1. The reaction needs to take place in either room temperature or be warm, but NOT heated
                                                                                          2. We know that the reagents are CN-, OH- and ammonia. However, you can't just go to a store and get and OH- or CN- ion of the shelf.
                                                                                            1. It's got to be ionically bonded to something else, e.g. NaOH, NaCN, KOH, KCN etc. in order to stabilise it.
                                                                                              1. We include the reagent in the chemical equation but not the mechanism
                                                                                                1. The Na+, or K+ ion will act as the spectator ion
                                                                                            2. Production
                                                                                              1. 1. Electrophilic addition
                                                                                                1. With H-X
                                                                                                  1. With X2
                                                                                                  2. Free Radical Substitution
                                                                                                    1. This uses an Alkane and a halogen
                                                                                                      1. A free radical is a species with an unpaired electron. It is very unstable and will react with almost anything
                                                                                                        1. Conditions:
                                                                                                          1. A sealed container
                                                                                                            1. UV light, this provided the energy to break the halogen bond which is extremely hard to break on its own because they have similar electronegativitys
                                                                                                          2. Equation: CH4 + Cl2 ------> CH3Cl + HCl
                                                                                                            1. Mechanism:
                                                                                                              1. 1. Initiation: This is where the UV light will break the bond between the Cl2. The two electrons that are shared now separates and each Cl gets its own electron and forms a free radical
                                                                                                                1. This is called homolytic fission: where a bond breaks and the electrons go seperate ways to form a free radical
                                                                                                                  1. 2. Propagation I: The chlorine free radical reacts with the methane and forms a methane free radical and a HCl molecule
                                                                                                                    1. Propagation II: The methane free radical will react with a Cl2 molecule to form chloromethane and a Cl free radical
                                                                                                                      1. This should in theory start the cycle again because you're back to where you started.
                                                                                                                        1. No more UV light is required
                                                                                                                          1. 3. Termination: This is where 2 free radicals react with each other and the reaction then stops as you no longer have a free radical
                                                                                                                        2. You could get other possible propagation steps that lead to different substituted haloalkanes e.g. dichloromethane or even tetrachloromethane
                                                                                                                          1. These can be separated using fractional distillation as they will have slightl different boiling points
                                                                                                                            1. E.g. you could get a chloromethane react with a cl. free radical. It will form HCl and then will form a chloromethane free radical. This will then react with a chlorine to form dichloromethane
                                                                                                                    2. Depletion of the Ozone layer
                                                                                                                      1. This occurs by free radical substitution
                                                                                                                        1. The ozone layer is made up of O3 and it protects the earth/land from the UV rays from the sun
                                                                                                                          1. CFC's: These are chlorofluorocarbons. They used to be used as refrigerants or aerosols
                                                                                                                            1. However they are now banned because they were contributing to the destruction of the ozone layer
                                                                                                                              1. They are harmless on land, but when they get up in the atmosphere, the bonds start to break from the UV light found in the atmosphere to form free radicals.
                                                                                                                                1. These free radicals will then react with the ozone layer
                                                                                                                                  1. Cl. + O3 ------> ClO. + O2
                                                                                                                                    1. ClO. + O3-----> 2O2 + Cl.
                                                                                                                                      1. In total : 2O3------> 3O2
                                                                                                                                        1. Although this isn't harmful, the ozone layer has been destroyed
                                                                                                                                        2. The cycle will start again
                                                                                                                        2. Elimination:
                                                                                                                          1. This is where you turn a haloalkane back into an alkene
                                                                                                                            1. In order to do this, we need to break 2 bonds.
                                                                                                                              1. In a haloalkane, the easiest bond to break is the H-X bond because they have a greater difference in electronegativity than a C-H bond does
                                                                                                                                1. The second bond to break has to be a C-H bond
                                                                                                                                  1. You have to get rid of a H that is ADJACENT to the carbon that you've just pulled off a halogen from in order to form a double bond
                                                                                                                                    1. To do this, we need a base: a hydroxide ion
                                                                                                                                      1. This will pull off the H+ ions as a base is a proton acceptor
                                                                                                                                        1. The H+ will obviously take no electrons with it
                                                                                                                                          1. So the carbon has one extra electron, and it will have a negative charge on it
                                                                                                                                            1. Both the carbons form another bond (+ and -) and the double bond has formed
                                                                                                                                  2. It will take both it's electrons with it, so there will be a plus charge on the carbon
                                                                                                                                2. Mechanism:
                                                                                                                                3. Conditions:
                                                                                                                                  1. The right conditions are required otherwise the OH will act as a nucleophile and not a base
                                                                                                                                    1. 1. Alcoholic solution/solvent only
                                                                                                                                      1. Heat, not warm
                                                                                                                                Show full summary Hide full summary

                                                                                                                                Similar