Gas Laws and the Mole

Description

Leaving Certificate Chemistry (Gas Laws And The Mole) Note on Gas Laws and the Mole, created by eimearkelly3 on 14/08/2013.
eimearkelly3
Note by eimearkelly3, updated more than 1 year ago
eimearkelly3
Created by eimearkelly3 over 12 years ago
1197
8

Resource summary

Page 1

- Particles in solids, liquids, and gasesSOLIDS closely packed particles, tightly bound to eachother --> fixed volume, fixed shape. constantly vibrate ;this is the only movement that they are capable of, because they are tightly bound. vibrate, on heating, more and more until, at the melting point, they break free from each other and a liquid is formed. When a solid melts, there is usually an increase in volume of between 5% and 30%. This is because, the particles in a liquid are usually more loosely arranged than a solid. LIQUIDS Particles are close together can slip by one another easily - as a result, liquids can flow and do not have a fixed shape. The volume of a liquid a a particular temperature is fixed, because of the forces that hold its particles together.  On heating, the particles move with greater pace and, at the boiling point, they escape completely from the other particles, and a gas is formed. GASES Particles are relatively free of each other, and so a gas has no fixed shape or volume at a particular temperature. Move very rapidly and in a random manner, colliding with each other and with the walls of their container. Because gas particles are seperated by relatively large distances, gases are easily compressed, unlike solids and liquids.

- DIFFUSIONDiffusion is the spontaneous spreading out of a substance, and is due to the natural movement of its particles.(Demonstration)Ammonia and hydrogen choride gases are allowed to diffuse from opposite ends of a glass tube. When they come into contact each other, a white cloud of ammonium chloride is formed

(Demonstration) Diffusion of smoke in air - smell/smoke spreads rapidly  Diffusion in liquids (ink in water - slower than gases)

Gas Laws - Boyle's Law and Charles' LawBOYLE'S LAWHe found that at a constant temperatureP x V = constantwhere P = Pressure of the airand V  = volume of the airAt a constant temperature, the volume of  a given mass of any gas is inversely proportional to the pressure of the gas.

CHARLES LAWDiscovered that equal volumes of different gases at constant pressure expanded by the same amount for a given rise in temperatureAt a constant pressure, the volume of a given mass of gas is directly proportional to the Kelvin temperature V/T = constant KV = volume of the gasT = temperature in Kelvin (273 + x)

GAY LUSSACS LAWMeasured the combining volumes of gases in a number of chemical reactions.He found, for example, that two volumes of hydrogen combine with one volume of oxygen to give water.When gases react, the volumes consumed in the reaction bear a simple whole number ratio to each other, and to the volumes of any gaseous products of the reaction, all volumes being measured under the same conditions of temperature and pressure.

AVOGADRO'S LAWEqual volumes of gases, under the same conditions of temperature and pressure, contain equal numbers of molecules

It is not possible to measure out single molecules but it is possible to measure out equal volumes of a substance. According to Avogadro's law, equal volumes of gases contain the same number of molecules under the same conditions of temperature and pressure.The mole is a unit of quantity that is easily measurable. The mole is the SI unit of amount of substance.

A mole of any substance is defined as the amount of substance that contains as many particles (atoms, molecules or ions) as there are atoms of C-12 in 12 g of C-12.The number of atoms of the C-12 isotope in 12g of C-12 can be measured, and is found to be approx. 6x10 to the 23 (AVOGADROS CONSTANT)

Standard temperature and pressure (s.t.p.)Pressure = 101325 PaTemperature = 273K

The RELATIVE MOLECULAR MASS of a substance is the average mass of a molecule of the substance relative to one-twelfth the mass of an atom of C12The MOLAR MASS of a substance is the mass in grams of one mole of the substance.

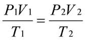
THE COMBINED GAS LAWBoyles' law, Charles' law, and Avogadro's law can be combined to give the combined gas law:

Where P¹, V¹, and T¹ are the initial pressure, volume, and Kelvin temperature respectively, and P2, V2, and T2 are the final pressure, volume and kelvin temperature respectively.

The KINETIC THEORY OF GASES was developed by James Clerk Maxwell and Ludwig Boltzmann. In this theory, it is assumed that: Gases are made of particles whose diameters are negligible compared to the distances between them. There are no attractive or repulsive forces between the particles. The particles are in constant rapid motion, colliding with each other and with the walls of their container. The average kinetic energy of the particles is proportional to the Kelvin temperature. All collisions are perfectly elastic (no energy loss - rebound with the same speed)

Gas laws such as Boyle's law and Charles' law, are only approximately obeyed by real gases.--> Ideal and real gasesThe kinetic theory is only completely valid for ideal gasesAn ideal gas is a gas that perfectly obeys all of the gas laws under all conditions of temperature and pressureThe behaviour of an real gases deviate from that of an ideal gas to the greatest extent at low temperatures and high pressures.- At low temperatures and high pressures, the diamaters of the gas particles are NOT NEGLIGIBLE compared to the distances between them as assumed in the kinetic theory of gasses.-Another assumption of the kinetic theory is that there are no attractive or repulsive forces between these particles. At low temperatures and high pressures, this assumption is not valid because the particles are in close proximity to each other. Attractive forces between the molecules, such as Van Der Waal's forces and, if the molecules are polar, dipol-dipole forces or hydrogen bonding, will have noticeable effects when  the particles are close to each other. The stronger the intermolecular forces, the more unlike an ideal gas the real gas will be

Real gases behave most like an ideal gas at high temperatures and low pressures. Under these conditions, the particles of a real gas are relatively far away from each other and the assumptions of the kinetic theory are reasonably valid. However, the assumption that collisions between molecules are perfectly elastic is never true for a real gas.

The equation of state for an ideal gas:Combining Boyles' law, Charles' law and Avogadro's law...PV=nRT

*A volotile liquid is a liquid that is easily vapourised

Gas Laws

The Mole

The Kinetic Theory Of Gases

Videos

Show full summary Hide full summary

Similar

Using GoConqr to study science
Sarah Egan
Electrolysis
lisawinkler10
Acids and Bases
silviaod119
Elements, Compounds and Mixtures
silviaod119
Chemistry General Quiz - 2
lauren_johncock
Chemistry Quiz General -3
lauren_johncock
Chemistry Module C2: Material Choices
James McConnell
AS Chemistry - Enthalpy Changes
Sarah H-V
The Periodic Table
asramanathan
Introduction to the Atom
Derek Cumberbatch
Acids and Bases
Sarah Egan