Complex Ions

Description

A2 Chemistry (Transition Metals) Note on Complex Ions, created by Lucy Nove on 15/03/2017.
Lucy Nove
Note by Lucy Nove, updated more than 1 year ago
Lucy Nove
Created by Lucy Nove almost 9 years ago
22
0

Resource summary

Page 1

Complex Ions are Metal Ions Surrounded by LigandsA complex is a central metal atom or ion surrounded by co-ordinately bonded ligands. A co-ordinate bond (or dative covalent bond) is a covalent bond in which both electrons in the shared pair come from the same atom. In a complex, they come from the ligands. So, a ligand is an atom, ion or molecule that donates electrons to a central transition metal to form a co-ordinate bond. The co-ordination number is the number of co-ordinate bonds that are formed with the central metal ion. The usual co-ordination numbers are 6 and 4. If the ligands are small, like H20 or NH3, 6 can fit around the central metal ion. But if the ligands are larger, like Cl-, only 4 can fit around the central mental ion. 6 CO-ORDINATE BONDS MEAN AN OCTOHEDRAL SHAPEBond angles are all 90

4 CO-ORDINATE BONDS USUALLY MEAN A TETRAHEDRAL SHAPEBond angles are 109.5

4 CO-ORDINATE BONDS CAN FORM A SQUARE PLANARThe bond angles are 90

SOME SILVER COMPLEXES HAVE 2 CO-ORDINATE BONDS AND FORM A LINEAR SHAPEThe bond angles are 180

Page 2

Complex Ions Have an Overall Charge or Total Oxidation StateThe overall charge on the complex ion is its total oxidation state. It's put outside the square brackets. You can work out the oxidation state of the metal ion = (the total oxidation state) - (the sum of the oxidation states of the ligands).EXAMPLEGive the oxidation state of the metal ions in the following complexes:a) Cobalt ion in [CoCl4]2-The total oxidation state is -2 and each Cl- ligand has an oxidation state of -1. So, in this complex, Cobalt's oxidation state = -2 - (4x-1) = +2.b) Chromium ion in [CrCl2(H2O)4]+The total oxidation state is +1. Each Cl- ligand has an oxidation state of -1, and each H2O ligand has an oxidation state of 0. So, in this complex, Chromium's oxidation state = +1 - ((2x-1) + (4x0)) = +3.

Page 3

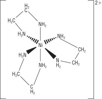
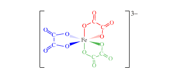
A Ligand Must Have at Least One Lone Pair of ElectronsA ligand must have at least one lone pair of electrons or it won't be able to form a co-ordinate bond. Ligands that can only form one co-ordinate bond are called monodentate ligands, eg. H2O, NH3, Cl-. Ligands that can form more than one co-ordinate bond are called multidentate ligands, e.g. EDTA4- has 6 lone pairs (it's hexadentate to be precise) so it can form six co-ordinate bonds with a metal ion. Bidentate ligands are multidentate ligands that can form two co-ordinate bonds e.g. ethane-1,2-diamine, H2NCH2CH2NH2 or ethanedioate [OOCCOO]2- (normally written as C2O42-). These compounds both have two lone pairs, so can each form two co-ordinate bonds with a metal ion.

Page 4

Haem in Haemoglobin Contains a Multidentate Ligand Haemoglobin is a protein found in blood that helps to transport oxygen around the body. Haemoglobin contains Fe2+ ions, which are hexa-coordinated - six lone pairs are donated to them to form six co-ordinate bonds in an octohedral structure. Four of the co-ordinate bonds come from a single multidentate ligand. Four nitrogen atoms from the same molecule co-ordinate around Fe2+ to form a circle. This part of the molecule is called haem. The other two co-ordinate bonds come from a protein called globin, and either an oxygen or a water molecule - so the complex can transport oxygen to where it's needed and then swap it for a water molecule: In the lungs, where the oxygen concentration is high, an oxygen molecule substitutes the water ligand and bonds coordinately to the Fe(II) ion to form oxyhaemoglobin, which is carried around the body in the blood. When oxyhaemoglobin gets to a place where oxygen is needed, the oxygen molecule is exchanged for a water molecule. The haemoglobin returns to the lungs and the whole process starts again. This process can be disrupted if carbon monoxide is inhaled. The haemoglobin swaps its water ligand for a carbon monoxide ligand, forming carboxyhaemoglobin. This is bad news because carbon monoxide is a strong ligand and doesn't readily exchange with oxygen or water ligands, meaning the haemoglobin can't transport oxygen anymore. Carbon monoxide poisoning starves the organs of oxygen - it can cause headaches, dizziness, unconsciousness and even death if it's not treated.

Page 5

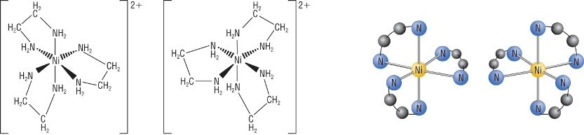
Complex Ions Can Show Optical Isomerism Optical isomerism is a type of stereoisomerism. Complex ions can show optical isomerism - where an ion can exist in two forms that are non-superimposable mirror images. This happens with octahedral complexes when three bidentate ligands co-ordinately bond with a central metal ion.

Page 6

Cis-Trans Isomers Can Form in Octahedral and Square Planar Complexes Cis-trans isomerism is another type of stereoisomerism - it's a special type of E/Z isomerism. Octahedral complexes with four monodentate ligands of one type and two monodentate ligands of another type can show cis-trans isomerism. If the two odd ligands are opposite each other, you've got the trans isomer. If they're next to each other, you've got the cis isomer.

Square planar complex ions that have two pairs of ligands also show cis-trans isomerism. When two paired ligands are opposite each other its the trans isomer, when they're next to each other it's the cis isomer. The molecule in the example below is a complex ion of Platinum(II) with two chloride ions and two ammonia molecules in a square planar shape. The cis isomer (cisplatin) is used as an anticancer drug.

Show full summary Hide full summary

Similar

Acids and Bases
Sarah Egan
Using GoConqr to study science
Sarah Egan
Ionic Bondic Flashcards.
anjumn10
Electrolysis
lisawinkler10
Acids and Bases
silviaod119
Elements, Compounds and Mixtures
silviaod119
Chemistry General Quiz - 2
lauren_johncock
Chemistry Quiz General -3
lauren_johncock
Chemistry Module C2: Material Choices
James McConnell
AS Chemistry - Enthalpy Changes
Sarah H-V
The Periodic Table
asramanathan