Chemistry Practice Problems

Description

Science (Chemistry) Slide Set on Chemistry Practice Problems, created by Hannah Jordan on 02/02/2017.
Hannah Jordan
Slide Set by Hannah Jordan, updated more than 1 year ago
Hannah Jordan
Created by Hannah Jordan almost 9 years ago
79
0

Resource summary

Slide 1

    1) How many atoms are in one mole of Cu?2) What is the mass of one mole of Li?3) How many atoms are in one mole of Si?4) What is the mass of one mole of Cl?

Slide 2

    1) How many atoms are in one mole of Cu?6.02 x 1023 atoms. There are always Avogadro's number of atoms in a mole of an element.2) What is the mass of one mole of Li?6.941 g. This number comes from the periodic table.3) How many atoms are in one mole of Si?6.02 x 1023 atoms. There are always Avogadro's number of atoms in a mole of an element.4) What is the mass of one mole of Cl?35.45 g. This number comes from the periodic table.

Slide 3

    1)  How many individual atoms are in a 2.75 mole sample of Si?2) What is the mass of a 0.0682 mole sample of K?3) What is the mass of 4.59 x 1025 He atoms?4) How many moles of Sc are represented by 7.22 x 1022 Sc atoms?5) How many moles of Ni atoms are in 2.95 g of Ni?6) How many individual atoms are in a 98.5 g sample of Na?

Slide 4

    NOTE: we will use the 1-step method in these solutions1)  How many individual atoms are in a 2.75 mole sample of Si?In 1 mole of Si, there is one mole and 6.02 x 1023 Si atoms.2.75 mol Si   x 6.02 x 1023 Si atoms1 mol Si =    1.66 x 1024 Si atoms2) What is the mass of a 0.0682 mole sample of K?In one mole of K, there is one mole and 39.10 g of K0.0682 mol K   x 39.10 g K1 mol K =    2.67 g K3) What is the mass of 4.59 x 1025 He atoms?In one mole of He, there are 4.003 g of He and 6.02 x 1023 He atoms4.59 x 1025 He atoms  x 4.003 g He6.02 x 1023 He atoms =    305 g He4) How many moles of Sc are represented by 7.22 x 1022 Sc atoms?In one mole of Sc, there is one mole and 6.02 x 1023 Sc atoms7.22 x 1022 Sc atoms   x 1 mol Sc6.02 x 1023 Sc atoms =    0.120 mol Sc5) How many moles of Ni atoms are in 2.95 g of Ni?In one mole of Ni, there is one mole and 58.69 g of Ni2.95 g Ni   x 1 mol Ni58.69 g Ni =    0.0503 mol Ni6) How many individual atoms are in a 98.5 g sample of Na?In one mole of Na, there are 6.02 x 1023 Na atoms and 22.99 g of Na98.5 g Na   x 6.02 x 1023 Na atoms22.99 g Na =    2.58 x 1024 Na atoms

Slide 5

    1.  How many atoms are in each of the following? a) 1 mole of Cab) 1 mole of Hec) 1 mole of N 2.  What is the mass of each of the following? a) 1 mole of Cab) 1 mole of Hec) 1 mole of N 3.    a) How many moles of Al are present in a 7.25 g sample of Al? b) How many atoms are in 3.68 moles of Sr? c) What is the mass of 4.40 x 1024 Co atoms? d) What is the mass of 0.0322 moles of As? e) How many moles of C are present in 3.79 x 1022 C atoms? f) How many atoms are in 55.3 g of Ge? g) How many moles of P are present in a 475 g sample of P? h) How many atoms are in 0.400 moles of Cr? i) What is the mass of 9.20 x 1021 Na atoms? j) What is the mass of 2.75 moles of Be? k) How many moles of Kr are present in 5.25 x 1025 Kr atoms? l) How many atoms are in 3.18 g of V?

Slide 6

    1.a) 6.02 x 1023 atomsb) 6.02 x 1023 atomsc) 6.02 x 1023 atoms2.a) 40.08 gb) 4.003 gc) 14.01 g3.a) 0.269 moles b) 2.22 x 1024 atomsc) 431 g d) 2.41 ge) 0.0630 molesf) 4.59 x 1023 atoms g) 15.3 molesh) 2.41 x 1023 atomsi) 0.351 g j) 24.8 gk) 87.2 molesl) 3.76 x 1022 atoms

Slide 7

    Compute the energy of each scenario in units of k/ε.  Solutions appear on the next page.1) A +2 charge and a +3 charge separated by 4 units of distance.2) A +3 charge and a -4 charge separated by 2 units of distance.3) A -2 charge and a 0 charge separated by 3 units of distance.

Slide 8

    Compute the energy of each scenario in units of k/ε.Note that to find energy in "units of k/ε", we want to use the simplified version of Coulomb's Law: E    = q1/ q2r1) A +2 charge and a +3 charge separated by 4 units of distance.E=(+2)(+3)/4 =1.52) A +3 charge and a -4 charge separated by 2 units of distance.E=(+3)(−4)/2 =−63) A -2 charge and a 0 charge separated by 3 units of distance.E=(−2)(0)/3 =0

Slide 9

    For each of the sets below, select the highest energy and lowest energyscenarios.Set #1A : a -2 charge and a +1 charge separated by 3 metersB : a -2 charge and a -2 charge separated by 3 metersC : a -2 charge and a 0 charge separated by 2 metersSet #2D : a +2 charge and a -1 charge separated by 3 metersE : a -3 charge and a +1 charge separated by 2 metersF : a -2 charge and -3 charge separated by 4 meters

Slide 10

    For each of the sets below, select the highest energy and lowest energy scenarios.Set #1A : a -2 charge and a +1 charge separated by 3 meters : E=(−2)(+1)/3 =−0.67B : a -2 charge and a -2 charge separated by 3 meters : E=(−2)(−2)/3 =+1.33C : a -2 charge and a 0 charge separated by 2 meters : E=(−2)(0)/2 =0The highest energy scenario is B.  It is the only scenario that has positive energy, and positive energies are always at "higher energy" than negative energies.  We could have determined that the energy of scenario B was positive since the charges are "like charges"; they are both negative.  Scenario A is the lowest energy scenario; it has opposite charges and a negative potential energy.  Notice that scenario C has 0 energy, since neutral particles do not interact in this fashion.  Remember that zero energy is not necessarily the "lowest energy"; the lowest energy is the most negative.Set #2D : a +2 charge and a -1 charge separated by 3 meters : E=(+2)(−1)/3 =−0.67E : a -3 charge and a +1 charge separated by 2 meters : E=(−3)(+1)2/ =−1.5F : a -2 charge and -3 charge separated by 4 meters : E=(−2)(−3)/4 =+1.5Scenario F is the highest energy scenario, since it is the most positive energy.  Scenarios D and E both have a negative energy, but E is the lowest energy scenario, since it is the most negative energy.  E and F have the same absolute value, but E is lower than F, since E is negative and F is positive.

Slide 11

    1. In each pair of scenarios, which has the lower energy of interaction?a) a +1 and a +1 charge separated by 1 cm OR b) a +1 and -1 charge separated by 1 cmc) a +2 and a +1 charge separated by 1 cm OR d) a +1 and +1 charge separated by 1 cme) a -2 and a -1 charge separated by 1 cm OR f) a -1 and -1 charge separated by 1 cmg) a +2 and a -1 charge separated by 1 cm OR h) a +1 and -1 charge separated by 1 cm2. In each set, which scenario has the highest energy and which has the lowest energy?Set #1: a) a -2 and a -1 charge separated by 1 cmb) a -2 and a +1 charge separated by 2 cmc) a -2 and a -2 charge separated by 3 cmd) a +1 and a -1 charge separated by 2 cme) a 0 and a +2 charge separated by 2 cmSet #2: f) a +3 and a -1 charge separated by 4 cmg) a +1 and a +2 charge separated by 2 cmh) a -1 and a 0 charge separated by 3 cmi) a -2 and a -1 charge separated by 1 cmj) a +1 and a -1 charge separated by 1 cm3. In the two sets of scenarios above, rank all five scenarios from lowest to highest energy.

Slide 12

    1. b, d, f, g2. Set #1: highest is a, lowest is bSet #2: highest is i, lowest is j3. Set #1: b < d < e < c < aSet #2: j < f < h < g < i

Slide 13

    1) How many protons, neutrons and electrons are contained in 51V2+?2) What is the symbol for the isotope with 15 protons, 16 neutrons and 18 electrons?3) How many protons, neutrons and electrons are contained in 79Br1-?4) What is the symbol for the isotope with 41 protons, 52 neutrons and 36 electrons?

Slide 14

    1) How many protons, neutrons and electrons are contained in 51V2+? Vanadium is atomic number 23. Therefore, 23 protons. Mass number is 51. 51 = 23 + (# of neutrons), so there are 28 neutrons. Charge is 2+. +2 = 23 - (# of electrons), so there are 21 electrons. 2) What is the symbol for the isotope with 15 protons, 16 neutrons and 18 electrons? 15 protons : the element is P. 15 protons and 16 neutrons : mass number is 31 15 protons and 18 electrons : charge is 3- Symbol is 31P3-. 3) How many protons, neutrons and electrons are contained in 79Br1-? Bromine is atomic number 35. Therefore, 35 protons. Mass number is 79. 79 = 35 + (# of neutrons), so there are 44 neutrons. Charge is 1-. -1 = 35 - (# of electrons), so there are 36 electrons. 4) What is the symbol for the isotope with 41 protons, 52 neutrons and 36 electrons? 41 protons : the element is Nb. 41 protons and 52 neutrons : mass number is 93 41 protons and 36 electrons : charge is 5+ Symbol is 93Nb5+.

Slide 15

    1) In what period is the element Na?2) In what group is the element N?3) In what period is the element F?4) In what group is the element V?5) Consider the following elements: Mg, S, O, Li, GeWhich of these are metals, which are metalloids, which are non-metals?6) Consider the following elements: Be, Fe, Se, Ti, ClWhich of these elements are main group elements and which are transition elements?7) What is the alkali metal in the second period?8) What is the noble gas in the third period?9) What is the halogen in the fourth period?10) What is the alkaline earth in the fifth period?

Slide 16

    1) 3rd period2) Group 5A or 153) 2nd period4) Group 5B or 55) The metals are Mg and Li; the metalloid is Ge; the non-metals are S and O6) The main group elements are Be, Se and Cl, the transition elements are Fe and Ti7) Li8) Ar9) Br10) Sr

Slide 17

    1. How many protons, neutrons and electrons, respectively, are in each of the following:  a) 7Lib) 13Cc) 14Nd) 19Fe) 16O2- f) 1Hg) 2Hh) 23Nai) 24Mg2+j) 35Cl k) 37Cl1-l) 64Zn2+m) 14N3-n) 27Al3+o) 85Rb1+ 2. Give the nuclear symbol of the species that contains:  a) 8 p+, 9 no, 8 e-b) 18 p+, 21 no, 18 e-c) 27 p+, 32 no, 27 e-d) 35 p+, 46 no, 36 e- e) 14 p+, 14 no, 14 e-f) 8 p+, 8no, 10 e-g) 24 p+, 28 no, 22 e-h) 50 p+, 70 no, 48 e- 3. How many elements are in group 4A of the periodic table. Which ones are metals?4. How many elements are in the 4th period? Which ones are non-metals?

Slide 18

     1.a) 3p4n3eb) 6p7n6ec) 7p7n7ed) 9p10n9ee) 8p8n10e f) 1p0n1eg) 1p1n1eh) 11p12n11ei) 12p12n10ej) 17p18n17e k) 17p20n18el) 30p34n28em) 7p7n10en) 13p14n10eo) 37p48n36e  2.a) 17Ob) 39Arc) 59Cod) 81Br1- e) 28Sif) 16O2-g) 52Cr2+h) 120Sn2+3. 6 elements, Sn, Pb and Fl are metals. 4. 18 elements, Se, Br and Kr are non-metals.

Slide 19

    1. Lithium consists of two isotopes, 6Li and 7Li. Which is more abundant?2. Naturally occuring copper consists of two isotopes. 63Cu has an abundance of approximately 70%. Is the other isotope 62Cu, 64Cu or 65Cu? (Hint: What is the molar mass of Cu?)3. Consider the element Ge. With which of the following elements is it most likely to have chemical reactions in common (may be more than one)?Al, Si, P, Ga, As, In, Sn, Sb4. You would expect the chemical reactions of Cl to be most like which element?Ar, Ne, F, O, S5. Ge makes a compound with Cl having the formula GeCl4. What would be the most likely chemical formulas of the compounds formed when Ga, Si or As are each reacted with chlorine?

Slide 20

    1. 7Li2. 65Cu3. Si and Sn4. F5. GaCl3, SiCl4, AsCl5

Slide 21

    1. In each of the following pairs of photons, which is of greater energy?(Note: you will need a calculator for the last four in the right hand column.)     a) 4 x 1014 s-1 or b) 3 x 1014 s-1          k) 3 x 1014 s-1 or l) 8 x 1013 s-1     c) 500 nm or d) 1000 nm          m) 6 x 1014 s-1 or n) 600 nm     e) 5 x 1014 s-1 or f) 8 x 1014 s-1          o) 1200 nm or p) 2 x 1014 s-1     g) 475 nm or h) 380 nm          q) 200 nm or r) 1 x 1015 s-1     i) 300 nm or j) 3000 nm          s) 5.5 x 1014 s-1 or t) 550 nm2. Wolfpack football and basketball games were formerly heard on radio on a station that uses photons with a frequency of 680 kHz (1 Hz = 1 s-1). This season, they can be heard on a station that uses photons with a frequency of 101.5 MHz. Which radio station broadcasts photons of greater energy? Of greater wavelength? Of greater speed?3. Given that the Rydberg constant is 3.29 x 1015 s-1 and the speed of light is 3.0 x 108 m/s, what are the frequency (in s-1) and wavelength (in nm) for the line in the hydrogen spectrum where:a) nhi is 4 and nlo is 3?b) nhi is 6 and nlo is 2?c) nhi is 4 and nlo is 1?

Slide 22

    1. a, c, f, h, i, k, m, o, q, s2. Greater energy : 101.5 FM     Greater wavelength : 680 AM     Greater speed : same3. a) ν = 1.60 x 1014 s-1;   λ = 1876 nm     b) ν = 7.31 x 1014 s-1;   λ = 410 nm     c) ν = 3.08 x 1015 s-1;   λ = 97 nm

Slide 23

    Consider the following transitions:A) n = 4 → n = 6B) n = 6 → n = 3C) n = 3 → n = 5D) n = 2 → n = 1 Which emission process gives a photon of smaller wavelength? Which absorption process is of greater energy?

Slide 24

    Which emission process gives a photon of smaller wavelength?First we need to decide which transitions represent emission of energy and which represent absorption of energy. Emission occurs when the atom goes from a higher energy level to a lower one. That would be B and D. If we want a photon of smaller wavelength, we want a greater energy transition. Even though B is a jump of three levels and D is a jump of only one level, we need to recognize that the energy difference between n = 2 and n = 1 is three quarters of the entire energy range available to the atom. Therefore, D will give a photon of smaller wavelength.Which absorption process is of greater energy?A and C are the absorption processes, since the atom goes from a lower to a higher energy level. Each is a jump of two levels. Again though, the spacings are larger at the lower levels, so C is of greater energy.

Slide 25

    1. Do the following transitions in the Bohr model of the atom represent absorptions or emissions of energy?     a) n = 1 to n = 3     b) n = 5 to n = 3     c) n = 2 to n = 5     d) n = 4 to n = 2     e) n = 6 to n = 5     f) n = 3 to n = 6     g) n = 4 to n = 32. a) Of the absorption processes in #1, which is the lowest energy transition?b) Of the absorption processes in #1, which is the highest energy transition?c) Of the emission processes in #1, which is the lowest energy transition?d) Of the emission processes in #1, which is the highest energy transition?e) Of the absorption processes in #1, which requires light of the lowest wavelength?f) Of the absorption processes in #1, which requires light of the highest wavelength?g) Of the emission processes in #1, which gives off light of the lowest wavelength?h) Of the emission processes in #1, which gives off light of the highest wavelength?

Slide 26

    1. a) abs    b) em    c) abs    d) em    e) em    f) abs    g) em2. a) f    b) a    c) e    d) d    e) a    f) f    g) d    h) e

Slide 27

    1. Give the values of n and l for the following sublevels: a) 3s b) 5d c) 4f2. How many orbitals and electrons are in the:    a) the 3s sublevel      b) the 3p sublevel      c) the n = 2 level    d) the n = 3 level      e) the 4d sublevel      f) the n = 4 level

Slide 28

    1. a) 3,0     b) 5,2      c) 4,32. a) 1 orbital, 2 e-      b) 3 orbitals, 6e-      c) 4 orbitals, 8e-d) 9 orbitals, 18 e-      e) 5 orbitals, 10 e-      f) 16 orbitals, 32 e-

Slide 29

    1) Construct an orbital energy level diagram for oxygen. A blank diagram with the orbitals in order is shown below at the left.2) On the right is shown a filled in diagram for a different element. Identify the element.3) Draw an orbital energy level diagram for sulfur.

Slide 30

Slide 31

    1) Construct an orbital energy level diagram for oxygen. The diagram is shown below on the left.  An oxygen atom has eight electrons. These are placed in the lowest energy orbitals, with the four electrons in the 2p sublevel spread out in accord with Hund's Rule. The first three were placed in three different orbitals, all with up spin. The fourth had to pair up by default, and is shown by a down arrow. No two electrons can be in the same orbital with the same spin.2) On the right is shown a filled in diagram for a different element. Identify the element.The diagram on the right has 14 electrons. Silicon is element #14, so this diagram belongs to Si.

Slide 32

    3) Draw an orbital energy level diagram for sulfur.On the left below, labeled "a", is the orbital energy level diagram for sulfur. Sulfur contains 16 electrons, which are shown in the diagram.  Again, the last four spread out in the 3p sublevel in accord with Hund's Rule.4) Identify the element shown on the right in the following diagram.The orbital energy level diagram on the right contains four electrons. It must be for element #4, which is beryllium.

Slide 33

    To find the number of unpaired electrons in an atom, we will follow this general outline: Find the element to determine the highest occupied orbital Count across to see how many electrons are in that sublevel. This can give you a configuration. Draw an orbital energy level diagram with only the highest occupied sublevel. Be sure to put in the electrons following Hund's rule. How many unpaired electrons are in an atom of K, Ru and I? Highest Occupied Orbitals K : 4s Ru : 4d I : 5p Configurations We count over from the left in each block to see how many electrons there are. K is the first element into the s-block : 4s1 Ru is the sixth element into the d-block : 4d6 I is the fifth element into the p-block : 5p5 Unpaired electrons We fill in the orbital energy diagram. But notice, we only need to use the highest occupied sublevel. Everything below that is filled, so all electrons at lower energy are paired! K has one unpaired electron In filling the 4d sublevel for Ru, the first five electrons spread out, in accord with Hund's Rule. By default, the sixth must pair up with one of the others, so there are four unpaired electrons. For I, four of the five electrons are paired, leaving one unpaired electron.

Slide 34

    What is the highest occupied orbital in an atom of K, Ru and I? K is in the s-block, so its highest occupied orbital will be an s orbital. Note that K is in the fourth period, so, counting down from the top, K's highest occupied orbital will be 4s. Ru is in the d-block, so its highest occupied orbital will be a d orbital. Ru is in the second row of elements in the d-block. Since the top row in the d block has 3d as their highest occupied orbital, Ru's highest occupied orbital will be 4d. I is in the p-block, so its highest occupied orbital will be a p orbital. Recalling that the top row of the p block has 2p as their highest occupied orbital and counting down, the highest occupied orbital in I is 5p.

Slide 35

    Determine the valence electron configuration of K, Ru and I. K The 4s electron is the only valence electron, so the valence electron configuration is 4s1.RThe highest energy s electrons are the 5s (there are two of them). We also include the 4d electrons. The valence electron configuration of Ru is 5s2 4d6.IAgain, the highest occupied s electrons are 5s. We also include the 5p electrons. The valence electron configuration for I is 5s2 5p5. Note that we do NOT include the 4d electrons as valence electrons. They do not take part in the chemistry of I.

Slide 36

    Write the full electron configurations for Ru and I.RTo determine the full electron configuration of Ru, we start with noble gas abbreviation from the period above. This would be krypton. We then include the electrons from the 5s and 4d sublevels. The full valence electron configuration would then be [Kr]5s24d6.IFor iodine, we again start with noble gas abbreviation from the period above, which again would be krypton. We then have to include all of the electrons after krypton. These would be from the 5s, 4d and 5p sublevels. The full valence electron configuration would then be [Kr]5s24d105p5.Notice that for elements in the p-block, the d electrons are included in the full configuration, but are not considered valence electrons.

Slide 37

    1. What is the highest occupied orbital in the ground state of each of the following atoms? a) Be     b) Sb     c) Rb     d) W     e) U     f) Xe 2. How many unpaired electrons are found in the ground state of: a) Mg     b) P      c) V     d) S     e) Tc     f) B 3. Which atoms have the following electron configurations? a) [Ar]4s1     b) [Ar]4s23d2     c) [Kr]5s24d105p1     d) [Xe]6s1e) [Ar]4s23d104p5     f) [Kr]5s24d4     g) [Xe]6s24f145d10 4. Write the electron configuration of a) O     b) Ba     c) Ni     d) Te

Slide 38

    1. a) 2s     b) 5p     c) 5s     d) 5de) 5f     f) 5p2. a) 0     b) 3     c) 3     d) 2e) 5     f) 13. a) K     b) Ti     c) In     d) Cs     e) Br     f) Mo     g) Hg4. a) [He]2s^2 2p4     b) [Xe]6s2     c) [Ar]4s23d8     d) [Kr]5s24d105p4

Slide 39

    1) Be, Ca, N - identify the atoms with the largest and smallest radius2) Be, Ca, N - identify the atoms with the largest and smallest electron affinity3) Ge, O, P - identify the atoms with the largest and smallest electronegativity4) Ge, O, P - identify the atoms with the largest and smallest ionization energy5) F, K, Se - identify the atoms with the smallest and largest electronegativity6) F, K, Se - identify the smallest and largest atoms7)  C, Na, Si - identify the atoms with the smallest and largest ionization energy8) C, Na, Si - identify the atoms with the smallest and largest electron affinity**Note : you can't always rank elements just by visual inspection of the periodic table**9) Br, Cl, S - identify the largest and smallest atoms10) Br, Cl, S - identify the atoms with the largest and smallest electronegativity

Slide 40

    1) Be, Ca, N - identify the atoms with the largest and smallest radiusOf the three elements (highlighted in blue), Ca is closest to the bottom left of the periodic table, so it will have the largest radius.  N is closest to the upper right, so it will have the smallest radius.2) Be, Ca, N - identify the atoms with the largest and smallest electron affinityThe trend for electron affinity is opposite to that for radius, so the largest electron affinity will be in the element nearest the upper right, N, and the smallest will be the element closest to the lower left, Ca.3) Ge, O, P - identify the atoms with the largest and smallest electronegativity(Highlighted in green) The largest electronegativity will be found in the element closest to the upper right, which will be O.  The smallest electronegativity will be found in the element closest to the lower left, which will be Ge.4) Ge, O, P - identify the atoms with the largest and smallest ionization energyThe trends in ionization energy will be the same as electronegativity, so O should have the largest and Ge should have the smallest electronegativity.5) F, K, Se - identify the atoms with the smallest and largest electronegativity(Highlighted in red) Smallest electronegativity : lower left (K), largest electronegativity : upper right (F).6) F, K, Se - identify the smallest and largest atomsSmallest atom : upper right (F), largest atom lower left (K)7)  C, Na, Si - identify the atoms with the smallest and largest ionization energy(Highlighted in purple) Smallest IE : lower left (Na), largest IE : upper right (C).8) C, Na, Si - identify the atoms with the smallest and largest electron affinitySame trend as IE: smallest EA is Na, largest EA is C**Note : you can't always rank elements just by visual inspection of the periodic table**9) Br, Cl, S - identify the largest and smallest atoms(Highlighted in black) Between these three, it is clear that Cl is closest to the upper right, so it will be the smallest atom.  Br is below Cl, so it will be larger than Cl.  S is to the left of Cl, so it will also be larger than Cl.  But which element is closest to the lower left, Br or S?  This is a case where you can't tell, so we cannot rank these two atoms.  Our best guess is that Br and S are both larger than Cl, but of similar size.10) Br, Cl, S - identify the atoms with the largest and smallest electronegativityAgain, Cl will have the largest electronegativity, since it is closest to the upper right.  But we can only predict that the electronegativities of Br and S are similar, and we cannot rank them.

Slide 41

    1. Why don't the 2p electrons in an oxygen atom feel the full +8 charge of the nucleus?2. Which electrons feel a greater nuclear charge in an oxygen atom, 1s or 2p?3. Arrange the elements Mg, S, and Cl in order of :a) increasing atomic radiusb) increasing ionization energyc) increasing electronegativity4. Consider Ca, As, Br, and Rb:a) which has the largest atomic radius?b) which has the highest ionization energy?c) which has the lowest electronegativity?

Slide 42

    1. The core electrons shield some of the charge away from the valence electrons.2. 1s3. a) Cl less than S less than Mg    b) Mg less than S less than Cl    c) Mg less than S less than Cl4. a) Rb,      b) Br,      c) Rb

Slide 43

    In each case, select the lower energy orbital.(Hint: Be sure to note which comparison you are making, the same orbitals on different atoms or the valence orbitals on different atoms. Remember that they have different criteria!)1) 4p on Se  OR  3p on S2) 3s on Na  OR  3s on S3) 3s on Na  OR  3p on S4) 4s on Ca  OR  3s on Mg5) 2s on Se  OR  2s on Cu

Slide 44

    In each case, select the lower energy orbital.(Hint: Be sure to note which comparison you are making, the same orbitals on different atoms or the valence orbitals on different atoms. Remember that they have different criteria!)1) 4p on Se  OR  3p on S2) 3s on Na  OR  3s on S3) 3s on Na  OR  3p on S4) 4s on Ca  OR  3s on Mg5) 2s on Se  OR  2s on Cu

Slide 45

    1. Which of each of the following is at lower energy?a) The 2p orbital in O or b) the 2p orbital in Fc) The 2s orbital in Li or d) the 3s orbital in Nae) The 2s orbital in Li or f) the 2s orbital in Nag) The 2p orbital in O or h) the 3p orbital in Si) The 2p orbital in O or j) the 2p orbital in Sk) The 4s orbital in K or l) the 4s orbital in Mg

Slide 46

    1. b, c, f, g, j, k

Slide 47

    1.  a)  In comparing the He1+ and the Li2+ ions using Coulomb's Law, which ion will be at lower energy?     b)  If the electron - nucleus distance is the same, by what factor do the two energies differ?2.  a)  In comparing the n = 1 levels in the He1+ and the Li2+ ions using the Bohr model, which ion will have the lower energy level?     b)  If the value of R is the same, by what factor do the two energies differ?

Slide 48

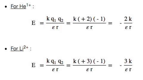
    1.  a)  In comparing the He1+ and the Li2+ ions using Coulomb's Law, which ion will be at lower energy? The Li2+ ion has the more negative energy, and therefore the lower energy.      b)  If the electron - nucleus distance is the same, by what factor do the two energies differ?The two energies differ by a factor of 1.5 (a factor of 3/2).

Slide 49

    2.  a)  In comparing the n = 1 levels in the He1+ and the Li2+ ions using the Bohr model, which ion will have the lower energy n = 1 levelThe Li2+ ion has the more negative energy, and therefore the lower energy (consistent with Coulomb's Law).     b)  If the value of R is the same, by what factor do the two energies differ?The two energies differ by a factor of 2.25 (a factor of 9/4).

Slide 50

    Which element, X, Y or Z, would have the greatest ionization energy?Which element would have the smallest ionization energy?Which element would have the greatest electron affinity?Which element would have the smallest electron affinity?

Slide 51

    The element with the greatest ionization energy would be the element whose highest energy electron starts low. Remember that we have to look at the highest electron in each atom! Y's highest electron starts lowest, so it has the largest ionization energy. Z's highest electron starts highest, so it is easiest to remove, and has the lowest ionization energy. The core electrons in Z, which are the two lower energy electrons, do not play a role in this question. This is shown in the diagram below:

Slide 52

    The element with the greatest electron affinity would be the element whose open spot is low. Remember that we have to look at the lowest open spot in each atom! Y's open spot lowest, so it has the largest electron affinity. X's open spot is highest, so it has the lowest electron affinity.  This is shown in the diagram below:
Show full summary Hide full summary

Similar

Acids and Bases
silviaod119
Elements, Compounds and Mixtures
silviaod119
Alcohols
Bee Brittain
Classification Matter Quiz
Selam H
Atomic Structure
Jenni
Chemistry Functional Groups Quiz
09valentinerhi
Solutions
Andrea Smith
Chem 1006 Key Terms
Andrea Smith
Block 7 Alkenes and aromatics
vicstevens
Block 8 Materials Chemistry 1
vicstevens
Testing for ions
Joshua Rees