Capítulo 4

Description

Capitulo 4, materia Enlaces Satelitales
Jane  Perales
Note by Jane Perales, updated more than 1 year ago
Jane  Perales
Created by Jane Perales almost 9 years ago
428
0

Resource summary

Page 1

Capítulo 4

Capitulo 4Los enlaces entre estaciones terrenas y los satélites o entre satélites están constituidos porradiación electromagnética dirigida en forma de haces, similares en algunas de sus característicasa los enlaces entre estaciones ubicadas sobre la superficie terrestre. Existen tres tipos de enlaces: Enlace de subida de las estaciones terrenas a los satélites Enlace de bajada de los satélites a las bases terrenas Enlace intersatelital

El método matemático que se utiliza para analizar una determinada línea o ducto de transmisión depende fundamentalmente del tamaño eléctrico del espacio por el cual se propagan las ondas electromagnéticas. Todo es cuestión de escala.Si el espacio es pequeño comparado con la longitud de onda característica λ0 entonces se aplican la teoría de circuitos de corriente alterna y la teoría general de líneas de transmisión vistas.Cuando dicho espacio (la sección de corte transversal de la línea o ducto) tiene dimisiones del mismo orden que el tamaño de la longitud de onda característica, ocurren efectos de propagación de la onda que pueden ser descritos resolviendo las ecuaciones de Maxwell y empleando campos electromagnéticos, en lugar de corrientes y voltajes.En cambio, si el espacio (por ejemplo, el aire o “el espacio libre”) por el que una onda electromagnética viaja es grande comparado con la longitud de onda característica, es válido describir el comportamiento de propagación, en forma muy aproximada, por medio de una onda electromagnética plana. Mientras mayor sea el espacio de propagación en términos eléctricos, mejor será la aproximación usando una onda plana.

Page 2

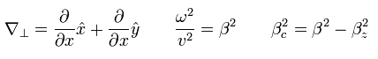
Los efectos de propagación en las guías de ondas cuyas dimensiones transversales son comparables a λ0 serán estudiados en este capítulo. Se verán las guías rectangulares y circulares, que son las de mayor uso en los sistemas prácticos de microondas terrestres y comunicaciones por satélite. También se estudiara el comportamiento de las placas paralelas y de la guía de ondas elíptica. Con excepción de las placas paralelas, las demás guías son “huecas”, pues consisten de un solo conductor cerrado, en cuyo interior generalmente hay aire.Con el fin de entender mejor que ocurre dentro de una guía hueca (rectangular, circular o elíptica), el presente análisis se iniciara con un recordatorio de las propiedades de una onda electromagnética plana; después se tratara el caso de las placas paralelas, que pueden conducir tanto una onda TEM como también modos superiores; y finalmente, se estará preparado para analizar las guías de un solo conductor o huecas.4.2 LA ONDA ELECTROMAGNETICA PLANAUna onda TEM es aquella cuyos campos E y H son perpendiculares entre si, y ambos a la vez son perpendiculares a la dirección de propagación, misma que se designara como la dirección a lo largo del eje “z”. Si además de lo anterior, la magnitud y la fase de cada campo son iguales en todos los puntos de un plano cualquiera, para el cual z es constante, entonces la onda es plana. Es decir, en un plano z = constante perpendicular a la dirección en que viaja la onda, los campos E y H son independientes de las coordenadas “x” y “y”; en planos paralelos con valores de “z” diferentes, los campos aumentaran o disminuirán de valor, de acuerdo con la periodicidad de la onda, pero seguirán siendo iguales en todos los puntos de cada nuevo plano en cuestión. Ambos campos, E y H, están en fase, pues alcanzan sus valores máximos al mismo tiempo.

Page 3

4.2.1 LA ONDA PLANA EN UN MEDIO SIN PERDIDASPara encontrar la expresión matemática de una onda plana, es necesario resolver las ecuaciones de Maxwell.

Considérese ahora que el medio de propagación es el “espacio libre”, con conductividad igual a cero y sin fuentes de radiación presentes (cargas y corrientes). Las fuentes (ρ y J fuente) si existen, pero están en algún lugar lejano del espacio en el que ahora viaja la onda y donde quiere encontrarse su solución matemática. Por tanto, Jf vale cero, y ρ, la densidad de carga, también vale cero. Además, como la conductividad σ del espacio libre se considera igual a cero, y dado que Jconductor = σE, el producto da cero, y entonces toda la densidad de corriente J es igual a cero.Por consiguiente, las cuatro ecuaciones de Maxwell, para encontrar la solución de propagación en el espacio libre, se reducen a:

Page 4

Antes de intentar resolver estas ecuaciones, conviene introducir la herramienta auxiliar de los fasores para los campos. Para esto, se supone que los campos eléctrico y magnético tienen una dependencia senoidal con relación al tiempo, a una frecuencia angular ω = 2πf, es decir:

En donde la magnitud de E0 y la fase Ѳ solo son funciones del vector de posición r. Ahora, si se definen los fasores de E y H como funciones de r, de la manera siguiente:

Se reescriben como:

Page 5

Al sustituir las ecuaciones, con B=μH y D=εE, y dado que derivar parcialmente con relación al tiempo se vuelve equivalente a multiplicar por jω, se obtienen las ecuaciones fasoriales siguientes:

Estas ecuaciones se pueden resolver fácilmente, lo cual justifica el uso de los fasores. Habiendo obtenido las soluciones E y H, se utilizan estas ecuaciones para representar la solución completa real o instantánea, que es tanto dependiente de la posición r como del tiempo t. Como es fácil de ver, este artificio matemático permite resolver un sistema de ecuaciones de tres variables (x, y, z) en lugar de tener que hacerlo con cuatro variables (x, y, z, t).En términos generales, E tiene componentes Ex, Ey y Ez, y H tiene componentes Hx, Hy y Hz. Para el caso de la onda plana en cuestión:

Page 6

Ya que los campos no dependen ni de “x” ni de “y” (son constantes en el plano z = constante), y la onda es TEM y totalmente transversal al eje z. De manera que, al sustituir al rotacional del vector por sus tres componentes cartesianas, estas se convierten en el siguiente sistema de ecuaciones simultáneas con derivadas parciales:

Al eliminar la variable Hy, se obtiene la ecuación de segundo orden.

Page 7

Cuyas soluciones son:

En donde A y B son constantes; β= ω √με y se denomina la constante de fase. Al sustituir la solicion que se propaga alejándose de la fuente, se concluye que:

Osea que la magnitud del campo eléctrico (enV/m y orientado en la dirección x) es η veces mayor que la magnitud del campo magnetico (en A/m y orientado perpendicularmente, en la dirección “y”).Similarmente, al combinar las ecuaciones se obtienen las soluciones para Ey y Hx. El campo E puede estar orientado de tal forma que consista en sus dos componentes Ex y Ey, pero para efectos de análisis en muchos problemas practicos, es fácil elegir un sistema de coordenadas de referencia de tal forma que el vector E total este alineado en la dirección x y el H total en la dirección y. Siendo asi el caso, Ey y Hx no existen, considerando que la onda electromagnética viaje en la dirección positiva de “z”.Se obtienen las expresiones completas(instantáneas) para los campos de una onda plana que viaja en la dirección positiva de “z”, en función de la posición y del tiempo:

Page 8

La velocidad a la que la onda viaja a lo largo del eje “z” es igual a ω/β y recibe el nombre de velocidad de fase:

Si el medio de propagación es el vacio o el aire, dicha velocidad es igual a c, la velocidad de la luz.4.2.2 LA ONDA PLANA EN UN MEDIO CON PÉRDIDASCuando el medio de propagación es disipativo, es decir que σ ≠ 0, entonces la densidad de corriente de conducción JC en la ecuación no se cancela y la expresión para el rotacional de H empleando fasores queda del modo siguiente:

Page 9

Las ecuaciones se pueden reescribir de tal manera que en ambas aparezca el factor √1+σ/jωε. El cociente σ/jωε es la tangente de perdidas descrita con anterioridad. Algebraicamente, se puede demostrar que si este cociente σ/ωε es muy pequeño (<<1), como sucede con los dieléctricos de perdidas muy bajas, entonces las ecuaciones se simplifican y toman la forma.

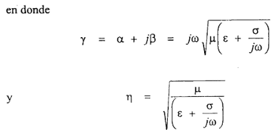
Se observa que en este caso la impedancia de la onda, η, y la constante de la fase, β, tienen valores idénticos a cuando el medio de propagación no tiene perdidas. Sin embargo, como el dieléctrico ahora bajo estudio si tiene una conductividad finita, aparece un valor real en la constante de propagación γ, que indica cuanto se atenúa la onda conforme avanza a lo largo de la dirección “z”; esta cantidad, representada por α en la ecuación, recibe acordemente el nombre de constante de atenuación. Una vez más, nótese la similitud de las ecuaciones deducidas para las líneas de dos conductores con perdidas.4.2.3 LA ONDA PLANA EN UN CONDUCTOREl otro caso extremo que permite simplificar las ecuaciones es cuando el cociente σ/jωε es muy grande (>>1). Tal es el caso para los medios que so buenos conductores, y las expresiones para γ y η quedan entonces como:

Page 10

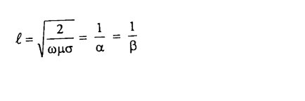
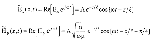
Se nota que el campo magnético está atrasado π/4 con relación al campo eléctrico, ya que EX=ηHY. Es decir, los campos E y H ya no están en fase, como si era el caso para los medios dieléctricos de bajas perdidas en la sección anterior.El inverso de α o β recibe el nombre de profundidad de penetración y recuérdese que se designa en este texto con la letra l. De modo que:

Por lo tanto, las expresiones fasoriales para los campos E y H son:

Y las expresiones instantáneas correspondientes (en función del tiempo) resultan ser:

Vea la siguiente tabla para contar con una referencia comparativa rápida.

Algunos sistemas de telecomunicaciones utilizan la propagación de ondas en el espacio libre, sin embargo también se puede transmitir información mediante el confinamiento de las ondas en cables o guías. En altas frecuencias las líneas de transmisión y los cables coaxiales presentan atenuaciones muy elevadas por lo que impiden que la transmisión de la información sea la adecuada, son imprácticos para aplicaciones en HF(alta frecuencia) o de bajo consumo de potencia, especialmente en el caso de las señales cuyas longitudes de onda son del orden de centímetros, esto es, microondas.

La transmisión de señales por guías de onda reduce la disipación de energía, es por ello que se utilizan en las frecuencias denominadas de microondas con el mismo propósito que las líneas de transmisión en frecuencias más bajas, ya que se presentan poca atenuación para el manejo de señales de alta frecuencia. Este nombre, se utiliza para designar los tubos de un material de sección rectangular, circular o elíptica, en los cuales la energía electromagnética ha de ser conducida principalmente a lo largo de la guía y limitada en sus fronteras. Las paredes conductoras del tubo confinan la onda al interior por reflexión, debido a la ley de Snell en la superficie, donde el tubo puede estar vacío o relleno con un dieléctrico. El dieléctrico le da soporte mecánico al tubo (las paredes pueden ser delgadas), pero reduce la velocidad de propagación. En las guías, los campos eléctricos y los campos magnéticos están confinados en el espacio que se encuentra en su interior, de este modo no hay pérdidas de potencia por radiación y las pérdidas en el dieléctrico son muy bajas debido a que suele ser aire. Este sistema evita que existan interferencias en el campo por otros objetos, al contrario de lo que ocurría en los sistemas de transmisión abiertos. La guía de onda se puede visualizar de manera simplificada en la figura a continuación, suponiendo que está formada por dos láminas conductoras y que el transporte de la energía se lleva a cabo mediante reflexiones continuas y no por medio de corrientes superficiales como en el caso de las líneas de transmisión.

Page 11

La guía está diseñada fundamentalmente para operar de un solo modo de propagación, con el ancho de banda requerido, atenuando los demás modos de orden superior

Basamento Las guías de onda se basan en el confinamiento de la luz, efecto que se logra mediante el uso de dos medios con índice de refracción diferente. El medio con índice de refracción menor (núcleo) se embebe en el medio con índice de refracción mayor (revestimiento o cubierta); la luz queda confinada en el medio el núcleo debido a reflexión total interna. La geometría de las guías de onda puede ser plana (slab, strip) o cilindrica, siendo esta última la más utilizada (fibras ópticas). Dependiendo de la frecuencia, se pueden construir con materiales conductores o dieléctricos. Generalmente, cuanto más baja es la frecuencia, mayor es la guía de onda. Por ejemplo, el espacio entre la superficie terrestre y la ionosfera, la atmósfera, actúa como una guía de onda. Las dimensiones limitadas de la Tierra provocan que esta guía de onda actúe como cavidad resonante para las ondas electromagnéticas en la banda ELF. Las guías de onda también pueden tener dimensiones de pocos centímetros. Un ejemplo puede ser aquellas utilizadas por los satélites de EHF y por los radares.

Page 12

Tipos de Guías de OndaExisten muchos tipos de guías de onda, presentándoles aquí las más importantes:· Guíade onda rectangular (circular, elíptica): Son aquellas cuya sección transversal es rectangular.· Guía de onda de haz: Guía de Onda constituida por una sucesión de lentes o espejos, capaz de guiar una onda electromagnética.· Guía de onda tabicada: Formada por dos cilindros metálicos coaxiales unidos en toda su longitud por un tabique radial metálico.· Guía de onda acanalada, guiada en V; guiada en H: Guíade onda rectangular que incluye resaltes conductores interiores a lo largo de una de cada una de las paredes de mayor dimensión.· Guía de onda carga periódicamente: Guía de onda en las que la propagación viene determinada por las variaciones regularmente espaciadas de las propiedades del medio, de las dimensiones del medio o de las superficie de contorno.· Guía de onda dieléctrica: Formada íntegramente por uno o varios materiales dieléctricos, sin ninguna pared conductora

Análisis Las guías de onda electromagnéticas se analizan resolviendo las ecuaciones de Maxwell. Estas ecuaciones tienen soluciones múltiples, o modos, que son los auto funciones del sistema de ecuaciones. Cada modo es pues caracterizado por un autovalor, que corresponde a la velocidad de propagación axial de la onda en la guía. Los modos de propagación dependen de la longitud de onda, de la polarización y de las dimensiones de la guía. El modo longitudinal de una guía de onda es un tipo particular de onda estacionaria formado por ondas confinadas en la cavidad. Los modos transversales.Se clasifican en tipos distintos:· Modo TE (Transversal eléctrico), la componente del campo eléctrico en la dirección de propagación es nula.· Modo TM (Transversal magnético), la componente del campo magnético en la dirección de propagación es nula.· Modo TEM (Transversal electromagnético), la componente tanto del campo eléctrico como del magnético en la dirección de propagación es nula.· Modo híbrido, son los que sí tienen componente en la dirección de propagación tanto en el campo eléctrico como en el magnético. En guías de onda rectangulares el modo fundamental es el TE1,0 y en guías de onda circulares es el TE1,1. El ancho de banda de una guía de onda viene limitado por la aparición de modos superiores. En una guía rectangular, sería el TE0,1. Para aumentar dicho ancho de banda se utilizan otros tipos de guía, como la llamada "Double Ridge", con sección en forma de "H".

Desarrollo matemático Suponiendo una guía en la dirección z, siendo una onda monocromática (único ω y constante) el campo que se propaga en el interior en la dirección de la guía será de la forma:

Suponiendo que en el interior no hay cargas ni corrientes libres las ecuaciones de Maxwell tomarán la forma:

Page 13

Y la ecuación de ondas aplicando la definición de los campos (el campo magnético tendría una forma análoga):

Definiendo:

Se tiene que las ecuaciones toman la forma de la ecuación de Helmholtz:

Page 14

Descomponiendo el campo en componente longitudinal y transversal:

Se puede separar de la ecuación de Helmholtz la componente longitudinal obteniendo:

La función Ez o Bz que cumple unas ciertas condiciones de contorno impuestas por el tipo de guía se denomina potencial de Debye. Modos TE y TM Se tratará el caso de un modo TE, para el caso del modo TM tan solo hay que intercambiar en las expresiones el campo eléctrico y magnético. En un modo TE se tiene que:También se tiene que:

de modo que:

El campo B longitudinal será la solución de la ecuación de Helmholtz y el campo transversal puede obtenerse a partir de la anterior expresión. El campo eléctrico vendrá dado por las ecuaciones de Maxwell. Dependiendo de la naturaleza de la guía, Bz o Ez (cuyo desarrollo sería idéntico) han de cumplir unas ciertas condiciones de contorno.

Page 15

Aplicaciones de las Guías

Las guías de onda son muy adecuadas para transmitir señales debido a su baja pérdida. Por ello, se usan en microondas, a pesar de su ancho de banda limitado y volumen, mayor que el de líneas impresas o coaxiales para la misma frecuencia.También se realizan distintos dispositivos en guías de onda, como acopladores direccionales, filtros, circuladores y otros. Su construcción es de material metálico por lo que no se puede decir que sea un cable. Las aplicaciones típicas de este medio es en las centrales telefónicas para bajar/subir señales provenientes de antenas de satélite o estaciones terrenas de microondas. No todas las guias de onda son duras, también existen guías de onda más flexibles, existe un tipo de guía de onda que fabrica una compañía que se llama ANDREW, y a este tipo de guía de onda flexible se le conoce como Heliax. Actualmente, son especialmente importantes, y lo serán más en el futuro, las guías de onda dieléctricas trabajando a frecuencias de la luz visible e infrarroja, habitualmente llamadas fibra óptica, útiles para transportar información de banda ancha, sustituyendo a los cables coaxiales y enlaces de microondas en las redes telefónicas y, en general, las redes de datos.

Page 16

Show full summary Hide full summary

Similar

INGENIERIA DE MATERIALES
Ricardo Álvarez
Elementos Básicos de Ingeniería Ambiental
Evilus Rada
Historia de la Ingeniería
Camila González
Introducción a la Ingeniería de Software
David Pacheco Ji
UNIDAD II DIBUJO PROYECTIVO
anyimartinezrued
GENERALIDADES DE LAS EDIFICACIONES
yessi.marenco17
MAPA MENTAL SOFTWARE APLICADOS EN INGENIERÍA CIVIL
Ruben Dario Acosta P
Examen Ingeniería Electromecánica II
Jorge Cabrera7516
Normas que Rigen la Ingenieria Mecanica
Francisco Balderas Garcia
Estado de la ingenería mecánica y su perspectiva a futuro
Roberto Martinez
MAPA CONCEPTUAL SOBRE LA INICIATIVA CDIO
Victor Antonio Rodriguez Castañeda