Interpolación

Description

Mind Map on Interpolación, created by michelltheonly on 18/10/2014.
michelltheonly
Mind Map by michelltheonly, updated more than 1 year ago
michelltheonly
Created by michelltheonly about 11 years ago
578
0

Resource summary

Interpolación
  1. Significa hallar valores no tabulados
    1. Tipos de interpolación
      1. Dentro del rango
        1. Interpolación
        2. Fuera del rango
          1. Extrapolación
        3. Enfoques para realizar la interpolación
          1. Curvas de colocacion
            1. pasa por 2 ó mas puntos de la tabla
              1. Las curvas que mas se usan para este fin son los polinomios.
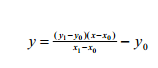
                1. Para una recta requerimos 2 puntos.
                  1. La ecuacion de la recta
                    1. que pasa por 2 puntos es:
                        1. Interpolación líneal
                  2. Si usamos un polinomio de grado 2
              2. Ajuste de curvas
                1. Se aproxima a los puntos
              3. Tablas espaciadas
                1. el espaciamiento entre cada punto es constante
                  1. Se presentan cuando tabulas funciones matemáticas complicadas.
                    1. Se puede utilizar:
                      1. Diferencias Finitas de Newton, Diferencias Progresivas o Diferencias hacia adelante,
                2. Método de la diferencias finitas hacia adelante de Newton
                      1. Al realizar alguna interpolación, se requiere fijar el grado del polinomio.
                        1. Si se tabula un polinomio de grado n, entonces la diferencia n+1 es 0, es decir, si en la columna n+1 de la tabla de diferencias se tiene solamente 0's, entonces la función de la cual se genero la tabla es un polinomio de grado n.
                  1. Diferencias finitas hacia atrás
                    1. Se realiza si el punto de interés esta al final de la tabla
                      1. Al invertir la tabla se puede demostrar que solo las diferencias nones cambian de signo
                        1. Fórmula regresiva:
                    2. Fórmula de Interpolación de Lagrange
                      1. Esta fórmula si puede aplicarse independientemente del espaciamiento de la tabla
                        1. Se propone un grado, se realiza la interpolación, se propone el siguiente grado, se vuelve a interpolar y se compara con algún criterio de convergencia
                          1. Hasta que se cumpla sino se vuelve a iterar
                        2. Interpolación Inversa
                          1. en vez de buscar la y se desea la x
                            1. El cc es:
                                1. Es posible que el grado del polinomio NO sea el mismo que con la interpolación normal
                          2. Oscilación
                            1. el polinomio oscila 9 entre cada punto de la curva.
                            2. Extrapolación
                              1. menos confiable que la interpolación
                                1. si no oscila dentro del intervalo de la tabla, afuera si lo hará.
                                  1. Se pueden utilizar los métodos:
                                    1. Lagrange
                                      1. la argumentación es similar.
                                      2. Newton
                                        1. si el punto de interés es mayor al ultimo punto de la tabla, entonces usamos como punto de apoyo el ultimo y empleamos diferencias finitas hacia atrás.
                                          1. Si es menor al primer punto de la tabla usamos como punto de apoyo el primero y diferencias finitas hacia delante
                                Show full summary Hide full summary

                                Similar

                                CÁLCULOS con [ 3 · 5 · 7 ]
                                JL Cadenas
                                Matrices y Determinantes
                                Diego Santos
                                Preguntas del Pensamiento Matemático
                                Diego Santos
                                Factorización de Expresiones Algebráicas
                                maya velasquez
                                Ensayo PSU Matemáticas
                                Diego Santos
                                Derivadas
                                erendira.aviles
                                Integrales Indefinidas
                                Rupert012
                                El número pi
                                angel tamayo
                                EL RINCÓN DE MATEMÁTICAS
                                dolorstodoli
                                Ecuaciones (Primer Grado)
                                Diego Santos
                                Fórmulas Geométricas (Perímetros)
                                Diego Santos