TREBALL

Description

Mind Map on TREBALL, created by Anna Aval on 19/03/2015.
Anna Aval
Mind Map by Anna Aval, updated more than 1 year ago
Anna Aval
Created by Anna Aval almost 11 years ago
1
0

Resource summary

TREBALL

Annotations:

  • Treball (W)
  1. ENERGIA

    Annotations:

    • Magnitud física gràcies a la qual els cossos tenen capacitat per a realitzar transformacions en ells mateixos o en altres cossos.
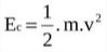
    1. Cinètica

      Annotations:

      • Capacitat de realitzar treball per estar en moviment. 
      1. Potencial

        Annotations:

        • Capacitat per fer treball per estar a una certa altura sobre la superfície. 
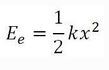
        1. Potencial elàstica

          Annotations:

          • El W s'inverteix en estirar o comprimir una molla.
        2. Mecànica

          Annotations:

          • Em = Ec + Ep
          1. Conservació i degradació de l'energia
            1. Forces conservatives

              Annotations:

              • És capaç de retornar íntegrament el treball realitzat per una força exterior que té sentit contrari a aquesta força i s’emmagatzema en forma d’energia potencial.
              1. Forces no conservatives

                Annotations:

                • És la que és incapaç de retornar íntegrament el treball realitzat per una força del exterior que té sentit contrari a aquesta força. 
            2. Treball de la força resultant

              Annotations:

              • Suma dels treballs realitzats per totes les forces que actuen sobre d'un cos.
              1. Treballd'una força variable
                Show full summary Hide full summary

                Similar

                Treball Música
                mrodrig1659
                POLÍGONS ALFONSO
                Alfonso Perez Sala
                Qüestionari Intro (T. Col·laboratiu)
                Carles Porté
                prehistòria
                vitros
                LA PROSA MORAL I RELIGIOSA
                Vicente Sivera
                Beep de Bisbe Ruano n.28
                Gerard Pifarré
                Llengua i societat
                Aitana G. Sanjuán
                ELS PERIFÈRICS
                marina.alvarezlo
                Mecansimes:
                Maria Tarrés Per
                ELS INICIS DE LA LITERATURA CATALANA
                Vicente Sivera