Numeros Complejos

Description

Un mapa mental explicando los numeros complejos.
agustinalban
Mind Map by agustinalban, updated more than 1 year ago
agustinalban
Created by agustinalban almost 11 years ago
495
0

Resource summary

Numeros Complejos
  1. Son
    1. Representados en varias formas
      1. Rectangular
        1. Ejemplo
          1. 5-4i
            1. Real: 5
              1. Imaginario: -4
              2. 8i
                1. Real: 0
                  1. Imaginario: 8
                  2. 6
                    1. Real: 6
                      1. Imaginario: 0
                      2. 7+6i
                        1. Real: 7
                          1. Imaginario: 6
                      3. Conjugados
                        1. 1ra Propiedad
                          1. El conjugado de un conjugado es el mismo complejo
                            1. z= a+bi
                              1. entonces
                                1. z=a+bi=z'
                          2. 2da Propiedad
                            1. Conjugado de la suma=suma de los conjugados
                              1. z+z'=z'+z
                            2. 3ra Propiedad
                              1. conjugado del producto=producto del conjugado
                                1. z*z'=z'*z
                          3. Numero imaginario y real
                            1. Imaginario
                              1. Raiz negativa
                                1. Al cuadrado puede ser negativo
                                  1. Representado por "i"
                                  2. Real
                                    1. De -∞ a ∞ .
                                      1. Al cuadrado es positvo
                                    2. Se pueden graficar
                                      1. Plano
                                        1. Normal
                                          1. Usa coordenadas
                                            1. Eje x y y
                                              1. x
                                                1. reales
                                                2. y
                                                  1. imaginarios
                                              2. Ejemplo
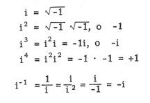
                                              3. El valor de i es
                                                1. i=√-1
                                                  1. Se exponencia a
                                              4. Por:Agustin Alban A01021656
                                                1. Referencias
                                                  1. http://www.sapiensman.com/matematicas/imagenes/texto3487.jpg
                                                    1. http://www.sectormatematica.cl/contenidos/comconj.htm
                                                    Show full summary Hide full summary

                                                    Similar

                                                    ESCRITURA DE NUMEROS
                                                    pat_si_pat
                                                    complejos
                                                    solaralex95
                                                    Los números en Alemán
                                                    Zamanta Federico
                                                    Sucesiones Aritméticas (Aplicaciones)
                                                    Elaine del Valle
                                                    Números racionales y representación decimal
                                                    robinson conde
                                                    Números italianos de 1 a 10
                                                    luigiscelsi
                                                    Test Números y Operaciones básicas
                                                    liz gonzalez
                                                    Ecuaciones de segundo grado
                                                    tama_futbol
                                                    Números Complejos
                                                    Sofía Sánchez Pé
                                                    PROPIEDADES DE LAS PROPORCIONES
                                                    AlejoLop12 RMC
                                                    test corto
                                                    René Ignacio Izq