ANÁLISE COMBINATÓRIA

Description

Mind Map on ANÁLISE COMBINATÓRIA, created by Rony Dias on 17/04/2014.
Rony Dias
Mind Map by Rony Dias, updated more than 1 year ago
Rony Dias
Created by Rony Dias over 11 years ago
87
2

Resource summary

ANÁLISE COMBINATÓRIA
  1. FATORIAL

    Annotations:

    • n! = 1 então n =0 ou n = 1
    1. MÉTODOS DE CONTAGEM
      1. PRINCÍPIO ADITIVO
        1. PRINCÍPIO MULTIPLICATIVO

          Annotations:

          • MULTIPLICAR AS POSSIBILIDADES
        2. CLASSIFICAÇÃO DOS AGRUPAMENTOS
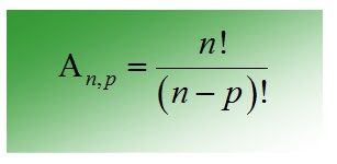
          1. ARRANJOS
            1. ARRANJO SIMPLES
              1. ARRANJO COM REPETIÇÃO
                1. ANAGRAMAS

                  Annotations:

                  • É qualquer agrupamento que se obtém quando se PERMUTAR as letras de uma palavra.
                  1. PERMUTAÇÃO SIMPLES
                    1. PERMUTAÇÃO COM REPETIÇÃO
                      1. PERMUTAÇÃO CIRCULAR
                    2. COMBINAÇÃO
                      1. COMBINAÇÃO SIMPLES
                        1. COMBINAÇÃO COMPLETA
                      Show full summary Hide full summary

                      Similar

                      Análise combinatória
                      Sávio Rodrigues
                      Análise Combinatória
                      Renato Ramos
                      Analise Combinatória e Probabilidade
                      Caroline Bernardes
                      O nº de objetos é igual ao nº de posições?
                      Luis da Silva
                      Arranjo, Permutação ou Combinação
                      Sandro Reis
                      Análise combinatória
                      Ana Abreu
                      Análise Combinatória
                      Rodrigo Nogueira
                      Digite seu texto aqui
                      Matheus Peixeiro
                      Análise Combinatória
                      Ed Filho
                      Análise Combinatória
                      Gustavo Drumond
                      Análise Combinatória
                      Neusa de Araújo