Mathematik ( A.)

Description

Informationen aus dem Internet
Leutrim Fazliu
Note by Leutrim Fazliu, updated more than 1 year ago
Leutrim Fazliu
Created by Leutrim Fazliu over 11 years ago
170
2

Resource summary

Page 1

Produktregel

y = u • vy' = u' • v + v' • u

Beispiel (Produktregel + Faktorregel): y = (5x^3 -2x) (2x) y' = (15x^2 - 2) (2x) + (5x^3 - 2x) (2) y' = 30x^3 - 4x + 10x^3 - 4x y' = 40x^3 - 8x y'' = 120x^2 - 8

Quotientenregel:y = u / v  y' = ( u' • v - v' • u ) / u^2

Kettenregel: Beispiel 1: y = ( 3x - 2 )^8 Substitution: u = 3x - 2 Äußere Funktion = u^8 Äußere Ableitung = 8u^7 Innere Funktion = 3x -2 Innere Ableitung = 3 y' = 8u^7 · 3 = 24u^7 mit u = 3x - 2 => y' =  24 ( 3x  - 2 )^7 Beispiel 2: y = e^4x + 2 Substitution: u = 4x + 2 Äußere Funktion = e^u Äußere Ableitung = e^u Innere Funktion = 4x + 2 Innere Ableitung = 4 y' = e^u · 4 y' = e^(4x + 2) · 4

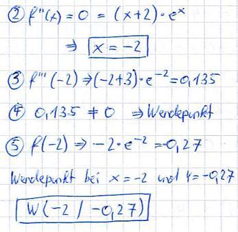
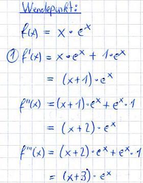
Wendepunkt berechnen: f''(x0) = 0 f'''(x0 ) ≠ 0 Wir leiten die Funktion f(x) dreimal ab. Wir setzen die zweite Ableitung Null und berechnen den X-Wert, sofern möglich Sofern möglich, setzen wir diesen X-Wert in die dritte Ableitung ein Ist dieses Ergebnis ungleich Null, liegt ein Wendepunkt vor Der X-Wert wird in f(x) eingesetzt, um den zugehörigen Y-Wert zu bestimmen Beispiel:  

Wendetangente berechnen: Wir suchen zunächst den Wendepunkt: Wir leiten die Funktion f(x) dreimal ab. Wir setzen die zweite Ableitung Null und berechnen den X-Wert, sofern möglich Sofern möglich, setzen wir diesen X-Wert in die dritte Ableitung ein Ist dieses Ergebnis ungleich Null, liegt ein Wendepunkt vor Der X-Wert wird in f(x) eingesetzt, um den zugehörigen Y-Wert zu bestimmen   Anschließend ermitteln wir die Wendetangente: Die Wendetangente ist eine Gerade der Form y = mx + b. Die Variablen m und b müssen bestimmt werden Die X-Koordinate des Wendepunkts setzen wir in die erste Ableitung ein und erhalten "m" Anschließend berechnen wir die Schnittstelle "b" mit der Y-Achse Die Werte setzen wir in die Geradengleichung ein und erhalten dadurch die Wendetangente

Minima und Maxima In der Extremwert-Rechnung unterscheidet man zwischen lokalen und globalen Maximas bzw. Minimas. Um dies besser zu verstehen, werft einen Blick auf die folgende Grafik:  Die wichtigen Punkte wurden mit den Zahlen 1 bis 5 versehen. Diese schauen wir uns nun einzeln an: Bei (1) befindet sich ein Maximum.  Genauer gesagt ist es ein lokales Maximum, denn es handelt sich hier nicht um den höchsten Punkt der dargestellten Funktion, sondern nur um den höchsten Punkt in der näheren Umgebung. Bei (2) findet sich ein lokales Minimum, denn dieser Punkt ist der tiefste Punkt in diesem Bereich. Da (2) jedoch auch den tiefsten Punkt der kompletten Funktion darstellt, ist (2) nicht nur ein lokales Minimum, sondern sogar ein globales Minimum. Bei (3) findet sich erneut ein lokales Maximum. Bei (4) findet sich ein lokales Minimum. Bei (5) findet Ihr das globale Maximum, denn es handelt sich um den höchsten Punkt der gezeichneten Funktion.

Hochpunkte und Tiefpunkte Wir bilden die erste Ableitung der Funktion Wir bilden die zweite Ableitung der Funktion Wir setzen die erste Ableitung Null, sprich f'(x) = 0. Dadurch erhalten wir einen oder mehrere X-Werte. Diese X-Werte setzen wir in die zweite Ableitung ein und prüfen damit, ob wir einen Hochpunkt oder Tiefpunkt haben.

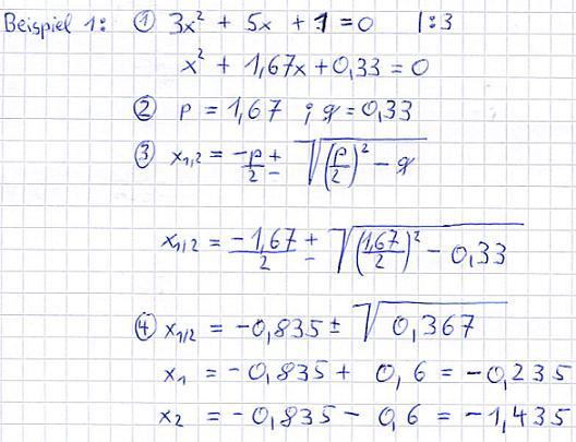
So löst man eine quadratische Gleichung: Bringt die Gleichung in die Form x2 + px + q = 0 Findet "p" und "q" raus Setzt dies in die PQ-Formel ein Berechnet die Formel damit

Show full summary Hide full summary

Similar