Introducción al Álgebra

Description

Algunos apuntes sobre las cosas principales del álgebra
Tulio Herrera
Note by Tulio Herrera, updated more than 1 year ago
Tulio Herrera
Created by Tulio Herrera about 11 years ago
520
1

Resource summary

Page 1

Termino AlgebraicoEs un sumando de una expresión algebraica y representa una cantidad. A todo término algebraico se le denomina monomio y consta de coeficiente, bases(s) y exponente(s).

Expresiones AlgebraicasSe conoce así a la combinación de números reales (constante y literal o letras (variable) que representan  cantidades mediante operaciones de suma, resta, multiplicación, división, potenciación, etc.

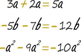
Términos SemejantesLos términos son semejantes cuando los mismos tienen bases iguales

Reducción de términos semejantesAquí arriba les dejo unos ejemplos acerca de la reducción de los términos semejantes

Lenguaje algebraicoEsta conformado por Lenguaje común que seria el escrito el que es con palabras y el lenguaje algebraico que es el termino algebraico

Lenguaje comúnEs aquel lenguaje en el cual tu dicen el término algebraico a través de palabras.Ejemplo:

Lenguaje AlgebraicoEs aquel lenguaje que se escribe a través del termino algebraico

Al sumar polinomios se escribe uno seguido del otro y se reducen los términos semejantes. y cuando haces la suma los signos de + y - no combianEjemplos:

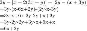
Sustracción de PolinomiosEn esta operación es importante identificar el minuendo y el sustraendo, para posteriormente realizar la reducción de términos semejantes. Cuando haces la resta los signos de + y - siempre cambian

Signo de AgrupaciónLos signos de agrupación se utiliza para indicar que las cantidades en su interior se deben considerar como una sola

Los signos de agrupación son los siguientes:

Corchetes [ ]

Paréntesis ( )

Llaves { }

Vínculo ----

Valor numéricoEs aquel término algebraico que esta conformado solo por variables que después son reemplazados por números, pero son diferentes números para cada términoEjemplo:

MultiplicaciónEn la multiplicación de términos algebraicos hay varios tipos de multiplicación 

Conocimiento Previos(+)(+)=+(-)(-)=+(+)(-)=-(-)(+)=-

Tipos de multiplicación:

Monomio por Monomio

Polinomio por monomio

Polinomio por Poilinomio

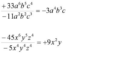
DivisiónEn la división de términos al también hay diferentes tipos de división

Tipos de División

Monomio entre Monomio

Polinomio entre Monomio

Polinomio entre Polinomio

Termino Albebraico

Lenguaje Algebraico

adición y sustracción de polinomios

Signo de agrupación

MULTIPLICACIÓN y división de Expresiones algebraicas

Show full summary Hide full summary

Similar

Introducción al álgebra
Daniel Ajanel
¡Y el álgebra de polinomios llegó!
Fabiola Arrivillaga