|
|
Created by Belem Esparza
almost 10 years ago
|
|
| Question | Answer |
| Reciprocal Identities | |
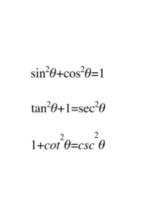
| Pythagorean Identities | |
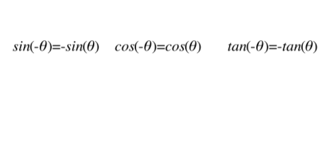
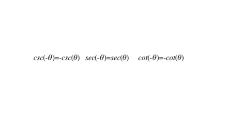
| Even Odd Identities | |
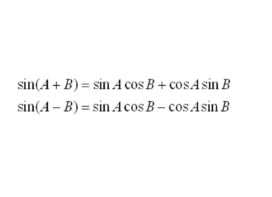
| Addition and Subtraction of Sine | |
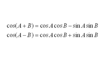
| Addition and Subtraction of Cosine | |
| Addition and Subtraction of tangent | |
| Double-Angle Formulas | |
| Half-Angle Formulas |
Want to create your own Flashcards for free with GoConqr? Learn more.