Trefilado

Description

Formulario de Trefilado
Gio Ortiz
Flashcards by Gio Ortiz , updated more than 1 year ago
Gio Ortiz
Created by Gio Ortiz over 10 years ago
16
0

Resource summary

Question Answer
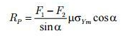
FUERZA DE TIRO
DEDUCCIÓN
TENSIONES DEBIDO AL CAMBIO DE FORMA GEOMÉTRICA POR TENSIÓN
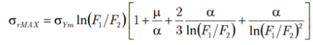
ESFUERZO TOTAL
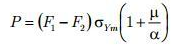
ANÁLISIS DE TENSIONES
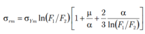
TENSIONES DEBIDO AL CAMBIO DE FORMA GEOMÉTRICA
TENSIONES DEBIDO AL CAMBIO DE FORMA GEOMÉTRICA DEBIDO AL CIZALLAMIENTO NO UNIFORME
TENSIONES TOTALES
CENTRO DEL ALAMBRE
Show full summary Hide full summary

Similar

mapa conceptual sobre proyecto
Mayo Rodríguez G
Gerencia de Produccion y Operaciones II, Mapa Mental
David Molina
Mejora Continua Coppel Efraín Báez
karla3520
Naturaleza y evolucion de la tecnologia .
Angela Caipe
Metrología
Gio Ortiz
PROYECTO_ ISAY SANDOVAL
Isay St
Procesos De Manufactura
Oscar Cuellar
Administración de procesos
Adriana Vadillo
HERRAMIENTAS PARA DIAGRAMACIÓN Y REPRESENTACIÓN DE PROCESOS
Yorlan Felipe
FICHAS DE AUTONOMIA
Tamara Sanchez Chavez
Bases Epistemologicas
luis vanegas