Lecture 3- Carbohydrates

Description

Biology- Semester 1 (Lecture 3- Carbohydrates ) Flashcards on Lecture 3- Carbohydrates , created by emma_moran on 19/12/2013.
emma_moran
Flashcards by emma_moran, updated more than 1 year ago
emma_moran
Created by emma_moran almost 12 years ago
49
1

Resource summary

Question Answer
Monosaccharides The most basic unit of carbohydrates.
Disaccharides Dimer of monosaccharides
Oligosaccharide Polymer of 3-20 monosaccharides
Polysaccharide Polymer of mono- or disaccharides
In which direction are carbons counted? From the top
What has happened if monosaccharides are in the deoxy form? Hydroxyl has been replaced with H
Stereoisomers Have the same chemical formula but are arranged differently in space.
Enantiomers They are mirror images of each other that are non superimposable
What direction do L isomers rotate plane polarised light? Left
What direction do D isomers rotate plane polarised light? Right
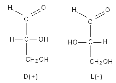
How to distinguish between D and L isomer? D isomer: The lowest OH on the carbon chain is on the right L isomer: The lowest OH is on the carbon chain is on the left
Glyceraldehyde
Glucose
Galactose
Fructose (F for Five carbon ring)
Ribose
Which two monosaccharides join together to form maltose? Glucose + Glucose
Which two monosaccharides join together to form lactose? Glucose + Glactose
Which two monosaccharides join together to form sucrose? Glucose + Fructose
Which enzyme catalyses the hydrolysis of maltose to glucose + glucose? Maltase
Which enzyme catalyses the hydrolysis of lactose to glucose + galactose? Lactase
Which enzyme catalyses the hydrolysis of sucrose to glucose + fructose? Sucrase
What are glycoproteins? Proteins that have oligosaccharide chains covalently attached to their protein structure. They are glycosylated proteins.
What are glycolipids? Lipids that have oligosaccharide chains covalently attached to their lipid structure. They are glycosylated lipids.
What does it mean if an oligosaccharide is N-linked to a protein? The oligosaccharide is linked to the amide N of asparagine residue of the protein backbone.
What does it mean if an oligosaccharide is O-linked to a protein? The oligosaccharide is linked to the the hydroxyl O of serine and threonine residues of the protein backbone.
What is the role of glycoproteins? They make up mucin and glycocalyx (extracellular material secreted by some cells eg. slime on the outside of a fish)
What are glycosaminoglycans (GAGS)? Long unbranched repeating disaccharide units that consist of amino sugars and uronic acids.
What are the properties and uses of GAGS? Properties: Hydrophilic (-ve charge), high viscosity and low compressibility Uses: Good lubricants and add structural integrity
What are GAGS that are attached to proteins known as? Proteoglycans
What are GAGS that aren't attache dto proteins known as? Mucopolysaccharides
What is the role of chondroitin in the body? Forms proteoglycans in cartilage, heart valves and bone.
What is the role of Hyaluronic acid in the body? It is a mucopolysaccharide that acts as a lubricant and shock absorber in synovial fluid and vitreous humour of the eye.
What are sphingolipids? They are a subtype of glycolipid. They contain sphingosine (18 carbon amino alcohol), a fatty acid and a charged head group.
What is the difference between alpha glucose and beta glucose? Alpha glucose: The OH group on carbon 1 is down (alpha looks like a fish and fish are down in the sea) Beta glucose: The OH group on carbon 1 is up (Beta for birds and birds are up the sky)
What is starch? Polymer of alpha-glucose
What are the two types of starch? Amylose: has alpha 1,4 glycosidic links and assumes a helical coil shape. Amylopectin: has alpha 1,4 and alpha 1,6 glycosidic links and assumes a brush shape.
Where is starch found? In amyloplasts and chloroplasts of plant cells
Which enzymes digest starch? Amylase and Maltase
What is glycogen? polymer of alpha glucose. It contains both alpha 1,4 glycosidic and alpha 1,6 glycosidic links (similar to amylopectin)
Function of glycogen? Main storage polymer of animals, found in liver and muscle cells.
How do starch and glycogen differ structurally? Glycogen is more branched than strach
Show full summary Hide full summary

Similar

Lecture 7- Plasma Membrane and Transport
emma_moran
Lecture 9- Nucleic Acids
emma_moran
Lecture 2- Introduction to Biological Molecules
emma_moran
Tutorial 3- Cell Cycle and Mitosis
emma_moran
Lecture 5 and 6- Proteins
emma_moran
Lecture 10- Protein Synthesis
emma_moran
Lecture 4- Lipids
emma_moran
Lecture 10- Translation
emma_moran
Lecture 7- Types of Endocytosis
emma_moran
Lecture 2- Functional Groups
emma_moran
Lectures 11 & 12- Enzymes
emma_moran