null
US
Sign In
Sign Up for Free
Sign Up
We have detected that Javascript is not enabled in your browser. The dynamic nature of our site means that Javascript must be enabled to function properly. Please read our
terms and conditions
for more information.
Next up
Copy and Edit
You need to log in to complete this action!
Register for Free
2988544
ESTRUCTURAS ALGORITMICAS
Description
METODOLOGIA DE LA PROGRAMACION DE SISTEMAS INFORMATICOS
No tags specified
metodologia de l
h
fd
Mind Map by
leidy herrera
, updated more than 1 year ago
More
Less
Created by
leidy herrera
over 10 years ago
23
0
0
Resource summary
ESTRUCTURAS ALGORITMICAS
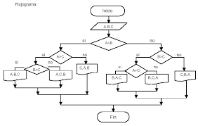
ESTRUCTURAS ALGORITMICAS SELECTIVAS
doble
compuesta
multiple
simple
VARIABLESS
INTEGER ( ENTERO
1,2,3,4,5...
DOUBLE ( DOBLE)
CHAR (CARACTER)
A,B.." "...G,J
BOLEAN (LOGICO)
DETERMINA VALORES 1 Y O
ESTRUCTURAS ALGORITMICAS REPETITIVAS
PARA (for)
MIENTRAS (while)
HASTA (do while)
condicion de ciclo
esta se escribe generalmente como una variable, de su valor depende, que el cuerpo del ciclo se ejecute.
cuerpo de ciclo
es el conjunto de instrucciones que se ejecutan si se cumple la condición.
salida de ciclo
es la señal que se pone para indicar la salida una vez que ya no se cumpla la condición, normalmente se utiliza la frase fin del ciclo.
Media attachments
436b1873-dee4-498a-bdbe-a655779cc59a (image/jpg)
4fb90c21-d077-424f-900c-3fe0f1b5cfcb (image/jpg)
f6ad73a1-df67-4d13-9922-e7be43a26654 (image/jpg)
5831f776-75d3-4f3f-b4fb-d79bc668a201 (image/png)
a6c873af-ea2d-49f1-9d45-be9d6df059ff (image/jpg)
f41e34df-e609-4d1a-a23c-7e027b309b93 (image/png)
0d2d9e05-72c8-495d-826d-aab3002cfec4 (image/jpg)
91c06a9d-29ab-4186-b886-21d19e47a07d (image/jpg)
089f0bcf-3fe2-4b5d-9db6-13bda23ba502 (image/jpg)
967108fd-042e-49fe-9287-5fe02c23c97c (image/png)
e4aeca55-5614-4b3c-adee-dafa3414b337 (image/jpg)
20e57a10-89ad-407e-a2f6-62d570bdf530 (image/jpg)
6135f6f0-b363-4c96-8171-fb2385206416 (image/jpg)
61ad2657-44ef-4142-94b8-a4f88adfc2d7 (image/jpg)
356b8295-5ed4-441c-8d9e-9f89b14e7c33 (image/jpg)
0bf08d8f-4dbd-4d8e-b58a-7940e54573cf (image/jpg)
36674d74-c4a7-4343-a0dd-22c920f2c291 (image/jpg)
Show full summary
Hide full summary
Want to create your own
Mind Maps
for
free
with GoConqr?
Learn more
.
Similar
EXPONENTES MÁS IMPORTANTES DE LAS INTELIGENCIAS MÚLTIPLES
Jeniffer Bernal
MERCADO DE CREDITO INTERNACIONAL
stefania-camargo
EL DIBUJO COMO MEDIO DE COMUNICACION
gonzalo04p
10 ESTRATEGIAS DE MANIPULACIÓN MEDIATICA
Gabriela Vega
Caracteristicas de las Estructuras Algoritmicas
Doralys Ricardo Valerio
-H- INTERCALADA...
Ulises Yo
V Jornadas “Innovación y emprendimiento en el sector agroalimentario”. Jornada de Cádiz (23 de mayo de 2023)
Rafael Castillejo
HUESPED
Isabela García
Evaluación Sobre Combinación de correspondencia
LUZ JENNY MORA MUÑOZ
FUNDAMENTOS DE LA PLANIFICACIÓN MICROCURRICULAR
gabriela.vazquez
capitulo 5. el juego y la guerra
jhonatan vargas
Browse Library