La teoría de la oferta y la demanda

Description

Oferta y Demanda
David Briseno
Mind Map by David Briseno, updated more than 1 year ago
David Briseno
Created by David Briseno over 10 years ago
154
0

Resource summary

La teoría de la oferta y la demanda
  1. Pendiente negativa
    1. Cuando la curva de oferta y demanda tienen una pendiente negativa, esta se dirige del noroeste al suroeste. Es decir, cuando los precios suben los compradores tienden a comprar menos. Esto sucede por dos razones, efecto de sustitución y efecto de ingreso.
    2. Esta teoría es efectiva y muy poderosa para determinar los cambios de precios
      1. Efecto de desplazamiento de la oferta y demanda
        1. El desplazamiento de una de estas dos (oferta o demanda) significa que habrá que reajustar el precio de equilibrio para que la demanda sea igual que la oferta.
      2. Demanda de mercado
        1. El pilar fundamental de la demanda son las preferencias individuales, y la demanda de mercado es la suma de todas estas demandas individuales.
        2. Fuerzas detrás de la curva de demanda
          1. Ingreso promedio de consumidores, el tamaño de mercado, los precios y disponibilidad de bienes relacionados, gustos o preferencias y por ultimo influencias especiales.
          2. Desplazamientos de la demanda
            1. Esto sucede por múltiples factores que hacen desplazar a la demanda hacia la izquierda o derecha, es decir, existen factores como cambio de gustos, mayor ingreso, bienes o servicios sustitutos que pueden desplazar la demanda.
            2. La función de la oferta
              1. Son los términos en las que las empresas producen y ofrecen sus productos. Los factores que se mantienen constantes en la oferta son: insumos, precios de bienes relacionados y políticas del estado.
              2. Pendiente positiva en la Oferta
                1. Una razón es la ley de rendimientos decrecientes
                  1. Fuerzas que subyacen a la oferta Los productores ofrecen sus productos para obtener un beneficio, un elemento importante es el coste de producción, estos costos dependen de:
                    1. Precios de los insumos – Hacer plata cuando su extracción es muy difícil
                      1. Los adelantos tecnológicos - Adelantos en maquinaria, o especialización de carreras Los precios de bienes relacionados – cuando los productos de algún tipo o modelo ofrecidos disminuyen otros tienden a subir
                        1. Políticas del estado – Restricciones naturales, regularización de precios, etc.
                          1. Características especiales – Aquellos factores que influyen en la oferta pero no se encentran antes mencionados, como las subastas que ofrecen productos a precios alternativos.
                      2. Equilibrio de la oferta y la demanda
                        1. La cantidad que los compradores quieren comprar es exactamente igual a la cantidad que los compradores quieren vender. El equilibrio de mercado también se denomina vacío de mercado.
                          1. El equilibrio con curvas de oferta y demanda
                            1. El caso del precio de cuatro es un excedente y en el precio más bajo por ejemplo el 2, existe una escasez
                        2. Aplicaciones de la oferta y la demanda
                          1. Para entender esto debemos saber que tanto responde la oferta y la demanda, la relación entre el precio y la cantidad comprada se analiza atreves de la elasticidad.
                            1. La elasticidad precio de la demanda
                              1. Indica cuanto varía la cantidad de un bien cuando varía su precio, definición exacta es la porcentual contra la cantidad demandada, dividida entre la cantidad porcentual en precio. La elasticidad tiende a ser mayor en bienes de lujo.
                              2. Calculo de elasticidades
                                1. Las elasticidades son todas positivas
                                2. Categorías de elasticidad de precio
                                  1. Demanda elástica con respecto al precio = variación del precio < 1% vs demanda > 1% Demanda inelástica con respecto al precio = variación del precio < 1% vs demanda < 1% Variación de elasticidad unitaria = variación del precio = demanda
                                  2. Puntos a considerar cuando calculamos elasticidad
                                    1. Todos los resultados son positivos Tomamos en cuenta los cambios porcentuales y no los cambios absolutos Usar cambios porcentuales para el cálculo de elasticidad
                                    2. Representación grafica de elasticidad precio La elasticidad es claramente diferente de la pendiente
                                    3. Elasticidad e Ingreso
                                      1. Ingresos totales = P x Q La discriminación de precios es una práctica para abordar el problema de los consumidores con elasticidad alta o baja.
                                        1. La paradoja de la cosecha abundante
                                          1. Esto sucede cuando la oferta es alta y pero el precio y la cantidad tienen una elasticidad baja.
                                          2. Elasticidad y precio de la oferta
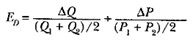
                                            1. La elasticidad-precio de la oferta es la variación porcentual ofrecida dividida entre la variación porcentual del precio Esta elasticidad-precio de la oferta es muy similar al de la demanda, pero en esta el resultado siempre será negativo:
                                              1. Aquí tenemos los ejemplos de la elasticidad de la oferta:
                                        2. Aplicaciones a grandes cuestiones económicas
                                          1. Análisis económico de la agricultura
                                            1. Declive relativo de agricultura a largo plazo
                                              1. Este ejemplo muestra como la oferta y la demanda se han desplazado y esto produce una caída en los precios de los productos agrícolas, es aquí donde el estado restringe la producción y la oferta tiene una elasticidad 0 para poder elevar los precios de los productos.
                                            2. El efecto de un impuesto sobre el precio y la cantidad
                                              1. Incidencia = La repercucion final de un impuesto sobre los ingresoso reales de los productores
                                              2. Los impuestos se usan para desalentar el consumo de un bien Los subsidios se utilizan para incentivar el consumo y producción de un bien
                                              Show full summary Hide full summary

                                              Similar

                                              Economía Estrategia y Desarrollo Empresarial
                                              Isabel Ordoñez M
                                              Función de planificación y organización
                                              Juan Jose Peña Moles
                                              Balance de Situación
                                              Diego Santos
                                              Economía de la Empresa - Test de Selectividad
                                              Virginia Vera
                                              Economía de la Empresa para Selectividad
                                              Diego Santos
                                              Conceptos básicos de Economía
                                              María Eugenia Méndez Piamba
                                              Contabilidad de Costos
                                              leodavidpb
                                              EMPRENDIMIENTO Y EMPRESARIALIDAD
                                              carlos tovar bur
                                              FINANZAS EMPRESARIALES
                                              amoremoxxo28
                                              Clasificación de la Empresa
                                              milenarz250880
                                              TEORÍA DE LA PRODUCCIÓN Y COSTOS.
                                              Jose Lius Castañeda