Matrices

Description

Tema de matrices y sus derivados
Daniela perez
Mind Map by Daniela perez, updated more than 1 year ago
Daniela perez
Created by Daniela perez almost 10 years ago
96
0

Resource summary

Matrices
  1. Conjunto de números o expresiones dispuestos en forma rectangular, formando filas y columnas.
    1. Ejemplo:
    2. Suma de matrices
      1. Suma de dos matrices con la misma posición. A+B= (aij+bij).
        1. Ejemplo
      2. Multiplicación de matriz por un escalar
        1. Se define como la multiplicación de una matriz por un número real. k • A=(k aij)
          1. Ejemplo
        2. Producto escalar de dos vectores
          1. Teniendo dos vectores a1,a2…an y b1, b2, bn, el producto escalar de a y b está representado: a1b1+a2b2+.....anbn
            1. Ejemplo
          2. Producto escalar de 2 matrices
            1. Dos matrices A y B se pueden multiplicar si el número de columnas de A coincide con el número de filas de B. Am x n x Bn x p = Cm x p El elemento C se obtiene multiplicando cada elemento de fila A por cada columna B y sumándolos.
              1. Ejemplo
            2. Ley asociativa y distributiva por multiplicación de matrices
              1. Asociativa: Digamos que A, B, y C son matrices n ×m. Entonces, (AB) C = A (BC).
                1. Distributiva: Digamos que A es una matriz m × n. Digamos que B y C son matrices n × r. La Propiedad Distributiva de matrices establece: A (B + C) = AB + AC También, si A es una matriz m × n y B y C son matrices n × m, entonces (B + C)A = BA + CA
                2. Operaciones elementales de renglón
                  1. Multiplicar o dividir un renglón por un numero distinto que cero; es decir multiplucar i-esimo renglón por C
                    1. Sumar un múltiplo de un renglón a otro renglón. “multiplicar el i-esimo renglón por C y sumárselo al j-esimo renglón”
                      1. Intercambiar renglones Ejemplo: si intercambiamos el renglón 1 y 3:
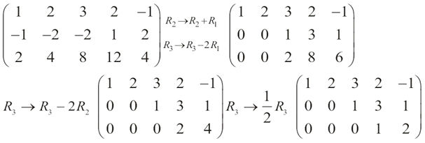
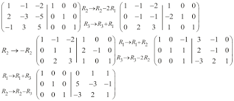
                      2. Eliminación de Gauss-Jordan Y Eliminación Gaussiana.
                        1. Eliminación de Gauss-Jordan. Proceso de resolución mediante la reducción por renglones de la matriz aumentada asociada a la forma escalonada reducida por renglones.
                          1. Eliminación Gaussiana. Reducción por renglones la matriz aumentada a la forma escalonada por renglones y utilizando la sustitución hacia atrás.
                            1. EJEMPLO
                          2. TALITZA DANIELA PEREZ COSIO
                            1. UNADM
                              1. ALGEBRA LINEAL
                            Show full summary Hide full summary

                            Similar

                            Matrices y Determinantes
                            Diego Santos
                            Álgebra lineal
                            Hugo Garzón
                            Sistemas de Ecuaciones Lineales
                            Feña Rodriguez K
                            Matrices y Determinantes
                            Victor Rodriguez
                            Metodo de Eliminacion Gauss - Jordan
                            Andrey Puentes
                            Mapa conceptual Espacios Vectoriales
                            edwar samboni
                            MATRICES Y DETERMINANTES
                            andresfelipe_int
                            Formas escalonadas de matrices. Teoría de matrices
                            Rolando Seclen
                            Regla de Cramer y solución de sistema de ecuaciones
                            Enrique Israel|
                            UNIDAD 1- VECTORES, MATRICES Y DETERMINANTES
                            fabio nelson prada
                            Espacios vectoriales
                            Angelica Maria Martinez Moreno