null
US
Sign In
Sign Up for Free
Sign Up
We have detected that Javascript is not enabled in your browser. The dynamic nature of our site means that Javascript must be enabled to function properly. Please read our
terms and conditions
for more information.
Next up
Copy and Edit
You need to log in to complete this action!
Register for Free
5301350
ESPACIOS VECTORIALES
Description
ESPACIO VECTORIAL
No tags specified
vectorial
espacio vectorial
espacio vec
Mind Map by
Nelson Nieto Moreno
, updated more than 1 year ago
More
Less
Created by
Nelson Nieto Moreno
almost 10 years ago
44
0
0
Resource summary
ESPACIOS VECTORIALES
DEFINICION: Sea un conjunto V cuyos elementos pueden ser:
ESTA DEFINIDO POR DOS OPERACIONES
1. SUMA
2. PRODUCTO POR UN ESCALAR
PARA QUE SEA UN ESPACIO VECTORIAL SE DEBEN CUMPLIR LAS SIGUIENTES PROPIEDADES
1.
1.
2. CONMUTATIVA
3. ASOCIATIVA
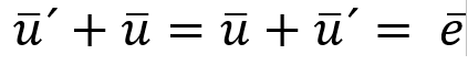
4. ELEMENTO NULO
5. OPUESTO
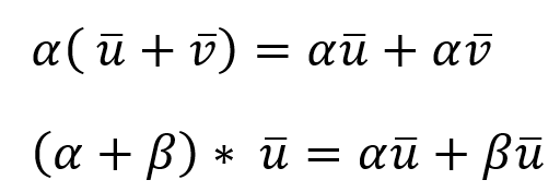
6. DISTRIBUTIVA
7. ASOCIATIVA
8. MODULAR
EJEMPLO
Media attachments
5014b693-6022-4b2a-954f-ac95cc67f9a9 (image/png)
53ff749b-1b0d-413f-b2ce-1719ebe97aa0 (image/png)
3f6e195e-d66f-4da3-9c45-ea8dded0e590 (image/png)
73233214-e081-42be-a24b-1a534ad3c186 (image/png)
968f4afd-4f6d-414b-a418-f2e7a92dfad3 (image/png)
67545d6c-dbf2-4559-ac8c-a8395804b2ab (image/png)
7e8027b2-0e79-49a8-86cb-7d957c43fd2a (image/png)
68802b30-4e1d-4ad7-9b85-92bec0bb1c77 (image/png)
b61b3859-d31b-4e42-a156-d1c471293281 (image/png)
9b006d0d-24e7-4adb-90ff-16d5a6de3856 (image/png)
a4443507-1044-449a-89a8-2f39f2165601 (image/jpg)
Show full summary
Hide full summary
Want to create your own
Mind Maps
for
free
with GoConqr?
Learn more
.
Similar
Espacios vectoriales
Angelica Maria Martinez Moreno
Espacios vectoriales
Victor Rodriguez
Espacio Vectorial
venlly Bernal
Tipos de imágenes y formatos
Alejandro Acosta3114
Electricidad y Magnetismo
SAMUEL EMILIANO ROSAS AVILA
ALGEBRA LINEAL
Omar Zipaquira
Espacios Vectoriales
Daro Gmnz
Magnitudes Físicas
karen vanesa herrera castañeda
QUE ES UN SUB ESPACIO VECTORIAL
diana soler
Espacio vectorial
Karina Sandoval
ESPACIO VECTORIAL
Quintero Marinez
Browse Library