null
US
Sign In
Sign Up for Free
Sign Up
We have detected that Javascript is not enabled in your browser. The dynamic nature of our site means that Javascript must be enabled to function properly. Please read our
terms and conditions
for more information.
Next up
Copy and Edit
You need to log in to complete this action!
Register for Free
6002588
Valor absoluto
Description
Mind Map on Valor absoluto, created by Evitha Caroline on 09/08/2016.
No tags specified
matematicas
valor
absoluto
Mind Map by
Evitha Caroline
, updated more than 1 year ago
More
Less
Created by
Evitha Caroline
over 9 years ago
23
0
0
Resource summary
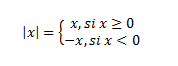
Valor absoluto
donde
Propiedades
Método de las regiones
Este es útil cuando no se puede aplicar las propiedades
Media attachments
a0d885d4-4db1-49e1-8bc5-7e4ad44a471f (image/png)
d0c5758c-5b8b-4ba6-bb0b-28043cb8eb60 (image/png)
8ea79c74-94d9-4430-883e-fd401d5fcf23 (image/jpg)
Show full summary
Hide full summary
Want to create your own
Mind Maps
for
free
with GoConqr?
Learn more
.
Similar
Sucesiones Aritméticas
Elaine del Valle
Aplicaciones de las derivadas
Marta Arroyo
EXAMEN DE MATEMÁTICAS 1ER GRADO SECUNDARIA 5to Bim
FELIPE SOLTERO
Matemáticasen la VidaCotidiana
Diego Santos
Ecuaciones Estadísticas
Diego Santos
FRACCIONES...
JL Cadenas
Ejemplos de Preguntas de Pensamiento Analítico
Raúl Fox
OPERACIONES CON POLINOMIOS
Leticia Pérez Nicolás
FRACCIONES...
Ulises Yo
Números Racionales - Parte 1
Samuel Campos Cid
Tablas (1) del 0, 1, 2, 3, 4, 5, 6, 7, 8, 9 y 10
Miguel Greciano
Browse Library