MAPA EFECTO DOPPLER1

Description

proceso de todo lo estudiado del efecto doppler para aprender
geovani getial
Mind Map by geovani getial, updated more than 1 year ago
geovani getial
Created by geovani getial over 9 years ago
59
0

Resource summary

MAPA EFECTO DOPPLER1
  1. INVESTIGADORES
    1. Einsten
      1. Heinrich Rudolf
        1. Cristian Doppler
          1. Principalmente conocido por su hipótesis sobre la variación aparente de la frecuencia de una onda percibida por un observador en movimiento relativo frente al emisor
      2. Boys Ballot
        1. Leander Pourcelot
      3. EN QUE CONSISTE
        1. El efecto Doppler es un fenómeno físico donde un aparente cambio de frecuencia de onda es presentado por una fuente de sonido con respecto a su observador cuando esa misma fuente se encuentra en movimiento.
        2. CASOS QUE SE PRESENTA EL EFECTO DOPPLER
          1. CASO DE UN OBSERVADOR EN MOVIMIENTO
            1. Consideremos en primer lugar el caso de una fuente en reposo respecto al medio circundante (el aire). Esta fuente emite ondas de frecuencia f, o equivalentemente, emite frentes de onda espaciadas un periodo T = 1 / f. Estas ondas se propagan el el aire radialmente con velocidad c.
            2. CASO DE UNA FUENTE EN MOVIMIENTO
              1. En este caso los frentes de onda se van emitiendo desde un punto que va avanzando, y por tanto se acumulan por la “proa”, mientras se enrarecen por la “popa”
              2. CASO DE QUE LOS DOS ESTEN EN MOVIMIENTO
                1. Cuando tanto la fuente como el receptor se encuentran en movimiento respecto al medio, el efecto Doppler resultante será una combinación de los dos anteriores.
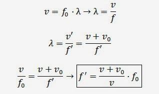
              3. ECUACIONES MATEMATICAS QUE UTILIZA EL EFECTO DOPPLER
                1. VIDEOS
                  1. https://www.youtube.com/watch?v=UEBNJqUW5Ok
                    1. https://www.youtube.com/watch?v=PBHIKYQ1228
                      1. https://www.youtube.com/watch?v=IOEIZHXbN04
                  Show full summary Hide full summary

                  Similar

                  Vectores en R2 y R3: Noción de distancia, definición algebraica de vector.
                  Juan Jose Rojas Echeverri
                  LOS MEDIOS DE TRANSPORTE
                  rosa benitez
                  NOMENCLATURA QUIMICA
                  albertomario vasquezcarrillo
                  la materia y sus propiedades
                  laura.acevedo200
                  Tipos de Navegadores
                  karen jazmin mejia Gonzalez
                  TECNICAS DE SONDEO Y IMPORTANCIA DE LA LABOR POR UN ASESOR TELEFONICO
                  JHON JAIRO GOMEZ SUAREZ
                  El ADN la molécula de la herencia
                  johanna BERMUDEZ
                  Reproduccion asexual
                  gersito02
                  reglas del octeto y fuerza intermoleculares
                  mayir españa
                  Ada Lovelace 1815-1852
                  Juanita Benavides Botina
                  ANTHONY GIDDENS
                  IzamarF